Harpagophytum procumbens
Harpagophytum procumbens es una especie de planta herbácea de la familia de las pedaliáceas natural del sur de África. Vulgarmente se le conoce como harpagófito (planta con garfios en griego) o «garra del diablo» debido a la morfología de sus frutos, unas cápsulas leñosas recubiertas de espinas ganchudas y aceradas.



| Harpagófito | ||
|---|---|---|
![]() | ||
| Taxonomía | ||
| Reino: | Plantae | |
| División: | Magnoliophyta | |
| Clase: | Magnoliopsida | |
| Orden: | Lamiales | |
| Familia: | Pedaliaceae | |
| Género: | Harpagophytum | |
| Especie: |
Harpagophytum procumbens' (Burch.) DC. ex Meisn. | |
Distribución
La planta crece principalmente en sustrato arenoso. Las dos subespecies reconocidas para la planta poseen áreas de distribución que no se solapan y alternan con las tres subespecies de Harpagophytum zeyheri. Así Harpagophytum procumbens sbsp procumbens ocupa amblias regiones de Botsuana, Namibia y la provincia de Northern Cape de Sudáfrica. Por su parte, Harpagophytum procumbens sbsp transvaalensis está presente en la provincia sudafricana de Limpopo y la zona adyacente a la frontera entre Botsuana y Zimbawe.[1]
Descripción
Es una planta xerófita. Su talo es de porte postrado y está formado por varios tallos de hasta 1'5 metros de longitud y un rizoma muy extenso con tubérculos de un máximo de 20 centímetros de longitud en sus raíces secundarias. Las hojas son opuestas, pecioladas y tri a penta lobuladas con hasta 65 milímetros de longitud y 40 de anchura. Su color es verde grisáceo por la presencia de glándulas de mucílago, el envés es pubescente.
Las flores tienen morfología infundibuliforme (forma de embudo) con hasta 7 centímetros de longitud y colores variables del rojo al púrpura en su zona distal y amarillenta en su base. Su fruto es una cápsula bilocular dehiscente ovada y plana. Característicamente, esta cápsula se encuentra armada con dos espinas centrales de hasta 7 centímetros de longitud y dos filas de entre 12 y 16 espinas laterales curvadas perpendicularmente al eje principal.[2][3]
Composición química

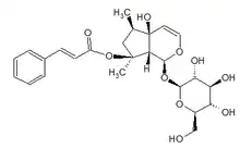
Los metabolitos secundarios mejor conocidos en Harpagophytum procumbens son derivados terpénicos iridoides, característicos del orden Lamiales, que pueden tener diversas funciones como principios activos en Farmacología. Destaca el Procúmbido un epímero del Antirinósido, el 8-O-cinamoilo o Harpagósido, el 8-O-(4-hidroxicinamoilo) y el Procumbósido, todos ellos presentes en raíz.[4]
Propiedades y actividad farmacológica
La raíz secundaria de Harpagophytum procumbens seca, en polvo o en infusión es utilizada en medicina tradicional para el tratamiento de dolores articulares y tendinitis, problemas digestivos tales como flatulencia, distensión abdominal o pérdida de apetito. Según la Agencia Europea de Medicamentos no existen estudios médicos que avalen tales propiedades, basándose estas únicamente en su uso prolongado a lo largo del tiempo.[5]
Diversos estudios realizados con extracto de raíz en animales indican que posee cierta capacidad analgésica periférica y antiinflamatoria. Esta actividad es muy dependiente de la vía de administración, siendo efectiva la vía intraperitoneal, aunque no la oral (al menos respecto a la actividad antiinflamatoria). También muestra completa independencia respecto a cualquiera de los principios activos conocidos en la planta, por lo que se ignora qué compuesto causa los efectos observados. La actividad en el sistema cardiovascular, una reducción de la presión arterial y la frecuencia cardíaca, parecen ser promovidos por el Harpagósido y por otras sustancias no identificadas.[6]
Los preparados de este vegetal pueden provocar diversos desórdenes por hipersensibilidad a sus principios activos causando diarrea, vómitos, náusea, dolor abdominal, dolor de cabeza, mareos y reacciones cutáneas. No se recomienda su ingestión por parte de embarazadas, lactantes ni por pacientes con úlcera gástrica o duodenal o problemas cardiovasculares.[5]
Taxonomía
Harpagophytum procumbens fue descrita por (Burch.) DC. ex Meisn. y publicado en Pl. Vasc. Gen. 206 1840.[7]
Referencias
- Setshogo, Moffat P. (2013). «To list or not to list? Arguments for and against listing Harpagophytum species on Appendix II of the Convention on International Trade in Endangered Species of Wild Fauna and Flora (CITES)». Journal of Medicinal Plants Research 7.
- PlantZAfrica, South African National Biodiversity Institute (ed.). «Harpagophytum radix». Consultado el 29 de agosto de 2015.
- PlantZAfrica, South African National Biodiversity Institute (ed.). «Harpagophytum procumbens (Burch.) DC ex Meisn. subsp. procumbens and subsp. transvaalense Ihlenf. & H.E.K Hartmann». Consultado el 29 de agosto de 2015.
- Dictionary of Terpenoids. CRC Press. 1991. ISBN 0 412 25770 X.
- Agencia Europea de Medicamentos (ed.). «Community Herbal Monograph on Harpagophytum procumbens DC. and/or Harpagophytum zeyheri Decne, Radix». Consultado el 29 de agosto de 2015.
- Agencia Europea de Medicamentos (ed.). «Assessment report on Harpagophytum procumbens DC. and/or Harpagophytum zeyheri Decne, Radix». Consultado el 29 de agosto de 2015.
- «Harpagophytum procumbens». Tropicos.org. Missouri Botanical Garden. Consultado el 9 de septiembre de 2014.
Enlaces externos
Wikispecies tiene un artículo sobre Harpagophytum procumbens.- National Institute of Medicine article on Devil's Claw
