Fragmentación de Eschenmoser
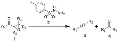
La fragmentación de Eschenmoser (también llamada la fragmentación de Eschenmoser-Tanabe) es la reacción química de α,β-epoxicetonas (1) con sulfonilhidrazinas de arilo (2) para producir alquinos (3) y compuestos de carbonilo (4).[1][2][3][4] El nombre de esta reacción de debe a Albert Eschenmoser, un químico suizo.

Mecanismo de reacción
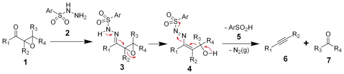
El mecanismo de la fragmentación de Eschenmoser empieza con la reacción de la α,β-epoxicetona 1 con sulfonilhidrazina de arilo 2 para producir la hidrazona intermediaria 3. La transferencia de un protón conduce al intermediario 4, que sufre la fragmentación clave al alquino 6 y el compuesto de carbonilo 7.

La transferencia del protón de la hidrazona 3 al intermediario 4 puede ser catalizado por piridina, bicarbonato de sodio, carbonato de sodio, o silica gel.
Véase también
- Fragmentación de Grob
- Reacción de Wharton
Referencias
- A. Eschenmoser, D. Felix and G. Ohloff (1967). «Eine neuartige Fragmentierung cyclischer ?, β-ungesättigter Carbonylsysteme; Synthese von Exalton und rac-Muscon aus Cyclododecanon Vorläufige Mitteilung». Helvetica Chimica Acta 50 (2): 708-713. doi:10.1002/hlca.19670500232.
- J. Schreiber, D. Felix, A. Eschenmoser, M. Winter, F. Gautschi, K. H. Schulte-Elte, E. Sundt, G. Ohloff, J. Kalovoda, H. Kaufmann, P. Wieland and G. Anner (1967). «Die Synthese von Acetylen-carbonyl-Verbindungen durch Fragmentierung von α-β-Epoxy-ketonen mit p-Toluolsulfonylhydrazin. Vorläufige Mitteilung». Helvetica Chimica Acta 50 (7): 2101-2108. doi:10.1002/hlca.19670500747.
- Masato Tanabe, David F. Crowe and Robert L. Dehn (1967). «A novel fragmentation reaction of α,β-epoxyketones the synthesis of acetylenic ketones». Tetrahedron Letters 8 (40): 3943-3946. doi:10.1016/S0040-4039(01)89757-4.
- D. Felix, J. Schreiber, G. Ohloff and A. Eschenmoser (1971). «α-β-Epoxyketon → Alkinon-Fragmentierung I: Synthese von exalton und rac - muscon aus cyclododecanon über synthetische methoden, 3. Mitteilung». Helvetica Chimica Acta 54 (8): 2896-2912. doi:10.1002/hlca.19710540855.
- Dorothee Felix, Claude Wintner, and A. Eschenmoser (1988). "Fragmentation of α-β-Epoxyketones to Acetylenic Aldehydes and Ketones: Preparation of 2,3-Epoxycyclohexanone and its fragmentation to 5-Hexynal". Org. Synth.; Coll. Vol. 6: 679.
- W. Dai and J. A. Katzenellenbogen (1993). «New approaches to the synthesis of alkyl-substituted enol lactone systems, inhibitors of the serine protease elastase». J. Org. Chem. 58 (7): 1900-1908. doi:10.1021/jo00059a049.