Fosfonoacetaldehído
El fosfonoacetaldehído (abreviado generalmente como PnAA) es un fosfonato natural que se obtiene de la reorganización del fosfoenolpiruvato (PEP). Dicha reacción está catalizada por la enzima fosfoenolpiruvato mutasa:[2]

| Fosfonoacetaldehído | ||
|---|---|---|
![]() | ||
| Nombre IUPAC | ||
| Ácido (2-oxoetil)fosfónico | ||
| General | ||
| Otros nombres | Fosfonoacetaldehído; Fosfonopiruvato; | |
| Fórmula semidesarrollada | (HO)2P(O)CH2CHO | |
| Fórmula molecular | C2H5O4P | |
| Identificadores | ||
| Número CAS | 16051-76-6[1] | |
| ChEBI | CHEBI:18124 | |
| ChemSpider | 476 | |
| DrugBank | 03174 | |
| PubChem | 490 | |
| KEGG | C03167 | |
| Propiedades físicas | ||
| Masa molar | 1 240 325 g/mol | |
| Valores en el SI y en condiciones estándar (25 ℃ y 1 atm), salvo que se indique lo contrario. | ||
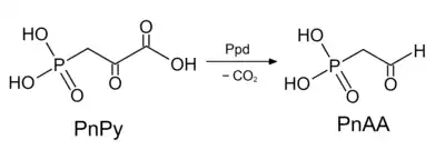
En este proceso de equilibrio, la termodinámica favorece al fosfoenolpiruvato por un factor de al menos 500. Por lo tanto, el fosfonopiruvato (PnPy) tiene que convertirse rápidamente en compuestos metabólicamente útiles, favoreciendo ese desplazamiento mediante reacciones irreversibles. La reacción irreversible elegida es la descarboxilación del PnPy mediante la enzima fosfonopiruvato descarboxilasa (Ppd):[3]

En consecuencia, el fosfonoacetaldehído es un sustrato clave en la biosíntesis de ácido 2-hidroxietilfosfónico, ácido 2-aminoetilfosfónico, fosfonoalanina, ácido fosfonometilmálico y ácido 2-ceto-4-hidroxi-5-fosfonopentanoico. La mayoría de las enzimas involucradas en la producción de estos compuestos han sido aisladas y caracterizadas y revisadas exhaustivamente.[2]
Véase también
Referencias
- Número CAS
- Spencer C Peck; Wilfred A van der Donk (2013). «Phosphonate biosynthesis and catabolism: a treasure trove of unusual enzymology». Current Opinion in Chemical Biology 17 (4): 580-588. doi:10.1016/j.cbpa.2013.06.018.
- Nakashita H, Watanabe K, Hara O, Hidaka T, Seto H (1997). «Studies on the biosynthesis of bialaphos. Biochemical mechanism of C-P bond formation: discovery of phosphonopyruvate decarboxylase which catalyzes the formation of phosphonoacetaldehyde from phosphonopyruvate.». J Antibiot (Tokyo) 50 (3): 212-9. PMID 9127192.
