Filosofía de la química
La filosofía de la química es una rama de la filosofía de las ciencias, la cual considera como objetos de estudio la metodología y las suposiciones subyacentes a la propia ciencia química (como pueden ser la naturaleza de las sustancias químicas, el atomismo, el enlace químico y la síntesis), así como los aspectos filosóficos generales de la filosofía de las ciencias en los que ésta mantiene estrecha comunicación e pertinencia (como pueden el realismo científico, el reduccionismo, la explicación científica, los ciclos de la investigación científica y la modelización numérica o molecular).

Es una de las subdisciplinas más recientes de la filosofía de las ciencias, y sólo hace unas pocas décadas ha conseguido atraer la atención de la comunidad científica.[1][2]
Historia

La filosofía de las ciencia en el siglo XX, principalmente en la tradición anglosajona, ha descuidado la reflexión sobre la química. La obsesión por la física llevó a ignorar tanto a la filosofía de la química como a otras áreas científicas que eran objeto de reflexión filosófica (como fue el caso de la biología). Aunque la química ganó popularidad en el siglo XIX, la filosofía de la química tuvo pocas publicaciones en las primeras cinco décadas del siglo XX.
Causas para este descuido incluyen la relación entre química y mecánica cuántica: el éxito de esta última llevó a considerar que la química puede ser reducida completamente a la física. Esto cuestiona la legitimidad de la filosofía de la química y afecta la autonomía de la química como disciplina. El realismo ingenuo también afectó la atención reflexiva del campo, considerando a la química como una forma física aplicada, no merecedora de análisis filosófico.[3]
Factores adicionales que frenaron el desarrollo de la filosofía de la química son su asociación con la tecnología, las campañas anticientíficas y los problemas ambientales. Sin embargo, en la década de 1990 se produjo un cambio, especialmente en Reino Unido, Estados Unidos y Alemania, con la formación de grupos de trabajo interdisciplinarios entre químicos, filósofos e historiadores de la química. Se establecieron conferencias y simposios, y surgieron revistas y publicaciones que impulsaron la filosofía de la química como subdisciplina emergente:[4]
La negación de la filosofía de la química como un campo legítimo de investigación filosófica sufrió un importante giro a mediados de la década de 1990, especialmente en Gran Bretaña, Estados Unidos y Alemania, junto con algunos grupos aislados en Holanda, Bélgica e Italia que habían surgido a fines de 1980. Desde entonces, químicos, filósofos e historiadores de la química comenzaron a trabajar de manera relativamente formal, celebrando reuniones periódicas en varios países. Además, la construcción de puentes entre la química y las humanidades fue impulsada por la industria química cuando la imagen pública de la química estaba en su peor momento (Schummer 2003). En 1994 se llevaron a cabo una serie de conferencias internacionales en Londres, Karlsruhe, Marburgo y Roma. Desde 1997 la International Society for the Philosophy of Chemistry lleva a cabo simposios anualmente. En los últimos años, el simposio se celebró en Bogotá (2011), Montevideo (2013) y Río de Janeiro (2015) ampliando así la subdisciplina a Sudamérica.Dos revistas surgieron en este contexto: Hyle – International Journal for Philosophy of Chemistry (desde 1995) y Foundations of Chemistry (desde 1999). Algunas excelentes monografías y antologías se han publicado hasta la fecha por prestigiosas editoriales (Oxford University Press, Boston Studies in the Philosophy of Science, Elsevier). Del mismo modo, un foro de discusión en Internet (Philchem) lidera el intento de sumar a mayor número de químicos y filósofos a esta emergente subdisciplina de la filosofía de la ciencia.
Martin Labarca
Fundamentos de la filosofía de la química

En cuanto se intenta definir la química y lo que estudia, surgen importantes cuestiones filosóficas. A menudo se asume que los átomos y las moléculas son las unidades fundamentales de la teoría química, pero las descripciones tradicionales de la estructura molecular y el enlace químico no explican las propiedades de muchas sustancias, como los metales, los complejos y la aromaticidad.[5][6][7]

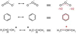
Además, los químicos utilizan con frecuencia entidades químicas formales como las estructuras de resonancia para explicar la estructura y las reacciones de diferentes sustancias corpóreas. Estas herramientas explicativas utilizan el lenguaje y las representaciones gráficas de las moléculas para describir el comportamiento de sustancias químicas y reacciones químicas que en realidad no se comportan como moléculas directas.
Algunos químicos y filósofos de la química prefieren pensar en las sustancias, y no en las microestructuras, como las unidades fundamentales de estudio de la química. No siempre existe una correspondencia unívoca entre los métodos de clasificación de sustancias.[7] Por ejemplo, muchas rocas existen como complejos minerales compuestos por múltiples iones que no se encuentran en proporciones fijas ni en relaciones espaciales entre sí.[5]
Un problema filosófico relacionado es si la química es el estudio de las sustancias o de las reacciones.[8] Los átomos están en perpetuo movimiento y, en las condiciones adecuadas, muchas sustancias químicas reaccionan espontáneamente para formar nuevos productos. Diversas variables ambientales contribuyen a las propiedades de una sustancia, como la temperatura y la presión, la proximidad a otras moléculas y la presencia de un campo magnético.[9][10][8] He aquí el conflicto entre quienes ponen el acento en las sustancias y aquellos que ponen el énfasis en los procesos:[8]
Los filósofos de la sustancia definen una reacción química por el cambio de determinadas sustancias, mientras que los filósofos del proceso definen una sustancia por sus reacciones químicas características.Joachim Schummer


Los filósofos de la química discuten cuestiones de simetría y quiralidad en la naturaleza. Las moléculas orgánicas (basadas en el carbono) son aquellas que, con más frecuencia, no son superponibles con su imagen especular. Los aminoácidos, los ácidos nucleicos y los azúcares, todos los cuales se encuentran exclusivamente como un solo enantiómero en los organismos, son las unidades químicas básicas de la vida. Químicos, bioquímicos y biólogos debaten por igual los orígenes de esta homoquiralidad. Los filósofos debaten los hechos relativos al origen de este fenómeno, a saber, si surge de forma contingente, en medio de un entorno racémico sin vida o si intervinieron otros procesos. Algunos especulan que las respuestas solo pueden encontrarse en comparación con la vida extraterrestre, si es que alguna vez se encuentra. Otros filósofos se preguntan si existe un sesgo hacia la suposición de que la naturaleza es simétrica, lo que provoca una resistencia a cualquier prueba de lo contrario.[11]
Otro asunto que compete (y compromete) los fundamentos de la química es determinar hasta qué punto la física (en concreto, la mecánica cuántica) explica los fenómenos químicos. La pregunta filosófica podría ser expresada de la siguiente manera: ¿Puede la química, de hecho, reducirse a la física, como muchos han supuesto, o existen lagunas inexplicables? Algunos autores, como Roald Hoffmann, han sugerido que existen una serie de dificultades en el programa reduccionista con conceptos como la aromaticidad, el pH, la reactividad y la nucleofilia.[12]
Tópicos actuales en filosofía de la química
De entre los temas de discusión e investigación en filosofía de la química, podemos destacar los siguientes:
Metafísica de las entidades químicas

Las discusiones metafísicas sobre entidades químicas abordan la naturaleza de conceptos como elemento, átomo, molécula, estructura y fase. La controversia gira en torno al estatus epistemológico y ontológico de estos conceptos, especialmente la estructura molecular.
La discusión inició con el artículo de R. G. Wooley Must a Molecule Have a Shape? (1978), en el que argumenta que la noción de estructura molecular es incompatible con la teoría cuántica y puede ser considerada una metáfora.[13] Hans Primas también sostiene que la estructura molecular es una metáfora que no se alinea con la mecánica cuántica.[14]
Sin embargo, otros, como Jeffry L. Ramsey, defienden una interpretación realista del concepto de estructura molecular, argumentando que es reductible ontológicamente, aunque de manera aproximada.[15] La irrupción de la mecánica cuántica ha generado conflicto, ya que esta teoría no concuerda con la noción clásica de estructura, pero el concepto sigue siendo fundamental en la química.

El relación entre química y física
Históricamente, la física y la química provienen de tradiciones diferentes. La física moderna es una combinación del mecanicismo cartesiano y el corpuscularismo británico, mientras que la química deriva de la alquimia medieval, con un enfoque en aplicaciones prácticas. Hasta el siglo XIX, ambas disciplinas eran independientes en términos de objetivos y métodos.
La llegada de la mecánica cuántica cambió esta dinámica al sugerir que la química podía ser derivada completamente de la física.[16] Sin embargo, algunos conceptos químicos fundamentales, como los enlaces y propiedades químicas específicas, no parecen ser reducibles a teorías físicas, lo que desafía la idea de una reducción completa.
Los filósofos de la química han debatido sobre la reducción ontológica y epistemológica. La reducción ontológica se refiere a la dependencia de entidades de un nivel sobre otro nivel, y la reducción epistemológica se relaciona con la deducción de ciertas teorías a partir de otras más fundamentales. Se ha argumentado que la química y la física pueden no ser completamente reducibles en ninguno de estos aspectos. Esto ha llevado a un cuestionamiento de la idea de que la química sea simplemente una rama de la física y ha generado discusiones sobre su autonomía ontológica y su metodológica.[2][17][18][19]
El problema del realismo en química

El problema del realismo se da en relación con la existencia de los términos teóricos en química, especialmente en torno a los conceptos de orbital atómico y configuración electrónica. Se plantea si estos términos son entidades reales en el mundo químico o si son simplemente herramientas matemáticas de la mecánica cuántica. Aunque los químicos suelen considerar los orbitales como entidades reales, desde la perspectiva de la mecánica cuántica son representaciones matemáticas de probabilidades de encontrar electrones en ciertas regiones del espacio.
El debate filosófico se centra en si los orbitales son ficciones matemáticas o entidades con existencia real. Algunos argumentan que son herramientas útiles para el cálculo sin existencia real, mientras que otros defienden su utilidad en la química.
En 1999, se informó que los orbitales habían sido visualizados y fotografiados, lo que causó gran impacto en la comunidad científica. Sin embargo, algunos críticos, incluidos químicos y filósofos de la química, objetaron estas conclusiones, argumentando que la interpretación de las visualizaciones estaba equivocada y que los orbitales no pueden ser visualizados debido a su naturaleza cuántica. En lugar de orbitales, argumentaron que lo observable es la densidad de carga o electrones durante los experimentos.[20]

Autonomía disciplinar de la química
La autonomía de la química frente a la física ha sido un tema central en la filosofía de la química. Aunque algunos argumentan que la química puede ser reducida a la física, muchos filósofos defienden la autonomía de la química en términos epistemológicos y ontológicos.[17][18][19][21] El éxito de la mecánica cuántica llevó a la idea de reducción epistemológica, pero varios autores desafían esto, argumentando que las propiedades químicas no pueden derivarse completamente de las físicas. Sostener la autonomía de la química es vital para dar a esta disciplina el mismo estatus que la física.
El pluralismo ontológico sugiere que las distintas ciencias operan en niveles ontológicos diferentes y pueden ser autónomas en sus propios términos. Aceptar el pluralismo y rehuir del discurso monista y unitarista en filosofía de las ciencias podría cambiar la percepción de la relación entre química y física.[22][23][24]
Modelos y explicaciones en química
En la química contemporánea, los modelos desempeñan un papel crucial para comprender fenómenos y guiar experimentos.[25][26] La filosofía de la química investiga este tema debido a la naturaleza diversa de las sustancias y reacciones químicas existentes, requriendo explicaciones más específicas que en física. Se utilizan modelos moleculares para entender la geometría en reacciones químicas, y diferentes modelos explican propiedades ácido-base y mecanismos cinéticos. La filosofía de la química explora la naturaleza de los modelos y explicaciones químicas, y en el proceso, surge la pregunta de si las explicaciones químicas son autónomas de las explicaciones físicas o si deben reducirse a estas últimas. Mientras que algunos sugieren que las explicaciones químicas deben derivarse de la física fundamental, otros argumentan que las regularidades químicas son específicas y autónomas:[27]
Si se admite una estrecha relación entre la química y la física, podría pensarse que los modelos y explicaciones en química deben ser abordados, también, desde un reduccionismo epistemológico. Es decir, la física fundamental debería explicar satisfactoriamente la naturaleza de los modelos químicos y brindar explicaciones más generales y fundamentales que las explicaciones químicas. Sin embargo, algunos autores subrayan que, aun cuando las regularidades químicas estén instanciadas en procesos físicos fundamentales, puede ser más útil explicarlas y describirlas en un nivel químico. En otras palabras, las explicaciones y modelos en química son genuinamente específicos del nivel químico considerado y, por tanto, son autónomas de las explicaciones y modelos en la físicaMartin Labarca
Sin embargo, es necesario advertir contra la idea de crear explicaciones ad hoc que no sean generalizables.[28] Un ejemplo es la "paradoja de los orbitales", donde se da una explicación incorrecta para la ocupación de orbitales en elementos de transición.[29][30][31][32]
Leyes y teorías químicas
Es un tópico recurrente el preguntarse acerca de la naturaleza de las leyes y teorías químicas, siendo muchas veces comparadas con las leyes y teorías físicas.[17][33][34] Se debate si las leyes químicas son similares en naturaleza a las leyes físicas o si existen diferencias peculiares. Siguiendo esta estela argumentativa, en años recientes la tabla periódica de los elementos químicos - construida originalmente con base en la ley periódica de Dimitri Mendeléyev - ha sido objeto de análisis. Concretamente, se cuestiona el estatus de la ley científica que la constituye, buscando activamente reducir la química a la física. Contrariendo a los reduccionistas, algunos argumentan que esta ley, aunque difiere en estructura y precisión de las leyes físicas, aún puede considerarse una ley natural en el ámbito químico. He aquí la disputa: Mientras algunos sostienen que las leyes químicas deben cumplir los mismos estándares que las leyes físicas, otros opinan que las leyes químicas no deben juzgarse a través de los mismos criterios de la física.[2][28][35][36][37][38]

Clases naturales en química

En filosofía de la química existe la discusión sobre si las clases naturales en química son genuinas o convencionales. Este debate ha involucrado dos perspectivas principales: el convencionalismo y el esencialismo. El convencionalismo argumenta que las clases naturales son meras agrupaciones humanas basadas en criterios convencionales, mientras que el esencialismo ve a estas clases como contenedores de esencias definitorias.[40]
Históricamente, el esencialismo fue predominante, pero el convencionalismo ganó fuerza con el positivismo lógico del Círculo de Viena en el siglo XX. Sin embargo, el esencialismo resurgiría en los años 70 y 80. Autores como Saul Kripke y Hilary Putnam desarrollaron una teoría de la referencia para los términos de clase química, argumentando que estas están definidas por propiedades microestructurales esenciales descubiertas por la investigación científica. Sin embargo, y dando por válido el esencialismo de clases naturales en el ámbito de los elementos químicos, surge una complicación al extender el microestructuralismo a los compuestos químicos. Los isómeros, que tienen la misma fórmula molecular pero diferentes propiedades, cuestionan la suficiencia de la fórmula molecular para clasificar compuestos. Esto ha llevado a que algunos filósofos argumenten que las propiedades macroscópicas podrían ser suficientes para identificar sustancias químicas sin recurrir a las esencias microestructurales.[41][42][43]
Ética de la química

La filosofía de la química reconoce la importancia de consideraciones éticas en vista de los posibles impactos beneficiosos y perjudiciales de los fenómenos químicos en la vida humana, no humana y el entorno. La responsabilidad individual de los científicos implica comunicar las posibles implicaciones de sus descubrimientos, pero las decisiones sobre la aplicación de estos conocimientos son de carácter social y político y deben ser tomadas en colaboración con la comunidad. No obstante, las más de las veces la comunicación entre químicos, filósofos de la química y las instituciones públicas presenta deficiencias.
A nivel ético, los filósofos de la química abordan cuestiones relacionadas con los valores personales de los químicos y su conexión con los valores compartidos por la sociedad. A nivel de códigos de conducta profesional, la ética o falta de ella influye en el desarrollo de sustancias químicas con diversos usos, como medicamentos, drogas, productos de consumo y armas. A menudo, estas sustancias se utilizan de maneras no previstas, consciente o inconscientemente. La responsabilidad primordial de los científicos, específicamente en términos éticos y sociales, es garantizar que la ciencia no sea utilizada para engañar al público. Deben explicar de manera honesta lo que aún no se sabe, brindando claridad para que todos estén informados. Sin embargo, esta tarea, que parece depender de la integridad moral del científico, puede ser considerablemente compleja.[44]
Filosofía de la química y educación

La química es percibida como una disciplina difícil de aprender, debido a la complejidad de operar a tres niveles de pensamiento: macro, micro y simbólico-matemático.[45] A pesar de los avances en la educación química, la enseñanza efectiva ha sido poco impactada.[46] El uso de principios de la mecánica cuántica ha influido en la enseñanza, pero resulta esencial equilibrar aspectos cualitativos y cuantitativos propios.[47] La filosofía de la química puede ser un recurso valioso para los educadores al hacer explícitos argumentos filosóficos junto con recursos matemáticos y físicos, recordando además la autonomía que la química tiene como disciplina.[48][49] Aquí es donde emerge la necesidad de formar filosóficamente a los educadores de química:[50]
No es suficiente entrenar a los educadores en química sólo en los contenidos de química de los cursos, y quizás brindarles algo de psicología educativa. Los docentes de química necesitan ser introducidos en el estudio de la propia naturaleza de la química.Eric Scerri
La reflexión filosófica sobre la naturaleza de la química puede facilitar el aprendizaje conceptual, y no resulta descabellado sugerir que los avances en la filosofía de la química puedan tener efectos positivos en la educación, brindando una perspectiva más profunda y amplia de la disciplina:[51]
Durante los últimos años, la investigación en educación en química ha logrado avances importantes introduciendo el uso de la tecnología en el aula y los modelos de procesamiento de la información, proponiendo cambios en los contenidos de los cursos, mejorando las actividades de laboratorio, etc. Sin embargo, se ha brindado poca atención a la cuestión acerca de la naturaleza de la química como disciplina científica y, en particular, a las relaciones entre química y física. En este contexto, es necesario enfatizar, entonces, que las cuestiones filosóficas relacionadas con la epistemología y la ontología son esenciales para comprender en profundidad la disciplinaMartin Labarca
Influencia filosófica de la alquimia en la química
A pesar de su conexión con las doctrinas herméticas y los elementos aristotélicos, los alquimistas operaban bajo un sistema corpuscular de la materia, y su enfoque iba más allá de buscar solo la piedra filosofal. Muchos eran conscientes de que sus experimentos con sustancias orgánicas e inorgánicas podían contribuir al desarrollo humano y la medicina. La alquimia no solo buscaba crear oro y plata, sino también estrategias para combatir enfermedades.[52][53][54]

Aunque los alquimistas han sido mal vistos históricamente debido a la presencia de charlatanes, hubo filósofos, médicos y teólogos que eran alquimistas y realizaron observaciones experimentales importantes. Su preferencia por la experimentación se relaciona con la influencia árabe y el surgimiento de universidades medievales. Roger Bacon fue un líder en este enfoque, enfatizando la importancia de la experimentación.[55][56]
Los alquimistas describieron y manejaron sustancias como mercurio, sales y azufre, incluyendo ácidos minerales y el alcohol destilado de vinos y cervezas. Se centraron en separar los constituyentes de las sustancias mediante calor, liberando "espíritus" que podían condensarse. La descripción de sus observaciones experimentales se expresó en un lenguaje rico que luego influyó en la química, obviamente dándoles un nuevo sentido a los términos heredados.[57] Los alquimistas utilizaron símbolos para identificar las sustancias estudiadas, estableciendo una base lingüística que se relaciona con el concepto de elementos químicos.
El modelo del flogisto, que surgió en el siglo XVII y XVIII, fue una teoría sobre la naturaleza de la materia. Joachim Becher propuso tres elementos en sustancias sólidas: tierra fija, tierra fluida y tierra oleásea (equivalente al azufre de los alquimistas). Georg Ernst Stahl luego llamó al último elemento "flogisto", caracterizado por animar el calor en la combustión. A su modo de ver, los metales eran mezclas de cal y flogisto, siendo la combustión un fenómeno de liberación del flogisto, donde la cal quedaba como residuo. Pero esta propuesta no duraría:[57]
Este modelo dominó por algún tiempo entre los siglos XVII y XVIII hasta que varias mentes inquietas empezaron a experimentar con los gases y la combustión, y se dieron cuenta de que el modelo del flogisto fallaba, pues resultó que algunas sustancias al ser calentadas no perdían peso, sino que aumentaban. Esta observación, se convirtió en la anomalía que terminó por derribar el paradigma de la teoría del flogisto.Ricardo R. Contreras

Con la crisis del modelo del flogisto, entramos a los primeros años de la ciencia química. Robert Boyle, en su obra El químico escéptico, contribuyó con la definición moderna de un elemento como "una sustancia que no se puede separar en sustancias más simples" y promovió la experimentación y la comunicación científica. Boyle ayudó a fundar la Royal Society, siguiendo la idea de Francis Bacon sobre la necesidad de crear espacios como academias o sociedades científicas.[58]
Antoine Lavoisier avanzó en la comprensión de las reacciones químicas, reemplazando la teoría del flogisto con lo que hoy llamaríamos química moderna. Su esposa Marie-Anne Pierrette Paulze quemó los libros del flogisto para simbolizar el cambio. Lavoisier estableció la ley de la conservación de la masa y describió veintitrés sustancias "elementales". A partir de aquella propuesta, el británico John Dalton desarrolló la teoría atómica, afirmando que los elementos reaccionaban en relaciones de peso fijas y números enteros.[59] Amadeo Avogadro analizó las relaciones entre moléculas y condiciones de temperatura y presión, formulando leyes. Joseph-Louis Proust propuso la ley de las proporciones constantes. Estos pensadores contribuyeron a la configuración de la química como ciencia, distinguiéndola de la alquimia.
La palabra química derivó de chymia, un término acuñado por Andreas Libavius para describir las prácticas de laboratorio en contraposición a la alquimia esotérica.[60] Libavius escribiría Alchemia (1597), uno de los primeros libros de química, el cual es descrito como el primer libro de texto práctico en la historia de la química.[61]
Filósofos de la química destacables
Varios filósofos y científicos se han dedicado a la filosofía de la química en los últimos años. Tenemos los casos del filósofo belga Jaap van Brakel, autor de Philosophy of chemistry: between the manifest and the scientific image (2013) y profesor en el Centre for Logic and Philosophy of Science de la KU Leuven; y Nikolaos Psarros, profesor de la Universidad de Leipzig y autor de Die Chemie und ihre Methoden (1999), cuyos proyectos de investigación se encuentran principalmente inscritos en los campos de la microbiología y la bioquímica de las bacterias cariogénicas orales, así como en la gestión de residuos nucleares.[62][63]

También destaca el químico y filósofo maltés Eric Scerri, editor de la revista Foundations of Chemistry y autor de multitud de libros dedicados a la química (en solitario y en coatoría).[64] Destacan:
- Philosophy Of Chemistry: Synthesis of a New Discipline (2006)
- Philosophy of Chemistry: Growth of a New Discipline (2015)
- Mendeleev to Oganesson: A Multidisciplinary Perspective on the Periodic Table (2018)
- The Periodic Table: Its Story And Its Significance (2020 [2006])
Scerri está especialmente interesado en los fundamentos filosóficos de la tabla periódica, y en cómo la física y la química se entrecruzan en relación con ella, lo que demuestra, según él, que no se trata sólo de un asunto científico, sino también filosófico. Es considerado uno de los químicos más influyentes de la década de los 2010's.[65]
Guarda mucho mérito el trabajo del filósofo alemán Joachim Schummer, quien es editor de la revista en línea HYLE. Esta revista, a diferencia de Foundations of Chemistry que es interdisciplinaria, está especializada en filosofía de la química. De entre sus publicaciones se pueden destacar:
- Discovering the Nanoscale (2005)
- Nanotechnology Challenges: Implications for Philosophy, Ethics and Society (2006)
- The public image of chemistry (2007)

Aunque en otros campos de la ciencia los estudiosos del método en cuestión no son generalmente practicantes del campo, en química (especialmente en lo que respecta al estudio de la síntesis orgánica) la racionalidad científica y los fundamentos filosóficos de la química frecuentemente son objeto de exploración de investigadores con programas de investigación activos. Elias James Corey desarrolló el concepto de "retrosíntesis", desarrollándolo en su obra seminal The logic of chemical synthesis (1989) (en coatoría con Xue-Min Cheng), que deconstruye estos procesos de pensamiento y especula sobre la síntesis asistida por ordenador. Otros químicos como Kyriacos Costa Nicolaou han seguido su estela, en obras como Classics in total synthesis (1996).
En América Latina, existen numerosas figuras notables que han discutido temas próximos a los intereses de la filosofía de la química, aunque muchas veces (especialmente durante los primeros años de desarrollo de la filosofía de las ciencias en la región) esta labor se ha efectuado desde el plano general de la filosofía de las ciencias, sin sumergirse dentro de la subdisciplina. Tenemos el caso de Oscar Nudler, quien comenzó a desarrollar en los 90's una visión de la dinámica de la ciencia en términos de conflictos,[66][67][68] desarrollando un modelo dínamico de la racionalidad científica que él denominó espacio de controversia: "una estructura dinámica compuesta por controversias interrelacionadas, con un "foco", compuesto por las cuestiones que son objeto principal de los desacuerdos, y un "terreno común", que consiste en los compromisos no sujetos a discusión dentro del espacio de controversia".[69] Este modelo se ha aplicado con éxito a distintos casos científicos, como los orígenes de la teoría del caos, el debate sobre las relaciones entre la química y la física, los orígenes de la biología molecular y el desarrollo de la lingüística estadounidense del siglo XX, entre otros ejemplos.[70]
.jpg.webp)

Los filósofos colmbianos Guillermo Restrepo y José Luis Villaveces centraron su interés en el uso las herramientas formales a la química. Revisaron los orígenes del razonamiento matemático en química y observaron la semejanza entre los programas de Gotffried Leibniz y Antoine Lavoisier en cuanto a la necesidad de una lingua philosophica para entender la naturaleza, cuyos resultados serían aprovechados más tarde por Johann Wolfgang Döbereiner y Dmitri Mendeléyev.[71] Asimismo, analizaron los aspectos matemáticos de la ley periódica y consideraron los diferentes aspectos fundacionales del campo denominado "química matemática", afirmando que esta rama de la química es la realización del pensamiento matemático en química, definido como pensamiento funcional por Felix Klein en el Programa de Erlangen.[72][73]
El estudio de los aspectos tecnológicos de la química, así como sus eventuales aplicaciones a la enseñanza de la química, ha sido realizado abundatemente por José Antonio Chamizo.[74][75][76]
Martín Labarca y Olimpia Lombardi son quienes más han trabajo las ideas y problemas de la filosofía de la química desde la propia subdisciplina, siendo los rostros más visibles de la región en estos asuntos. Labarca es miembro de la International Society for the Philosophy of Chemistry y de la Asociación de Filosofía e Historia de la Ciencia del Cono Sur. Es autor de la entradas Filosofía de la química y Relaciones interteóricas en el Diccionario Interdisciplinar Austral (DIA). Lombardi es investigadora Superior del Consejo Nacional de Investigaciones Científicas y Técnicas de Argentina (CONICET) e investigadora de la Universidad de Buenos Aires. Es autora de Philosophical Aspects of Chaos Theory (2011), coautora de Introduction to the Modal-Hamiltonian Interpretation of Quantum Mechanics (2010) y The Multiple Worlds of Science: A Pluralistic Realism and its Application to the Philosophy of Physics (2012). Además, ha fungido como coeditora de Frontiers of Determinism: Philosophy and Science in Dialogue (2015), ¿Qué es la información cuántica? (2017), y Mundos cuánticos: perspectivas sobre la ontología de la mecánica cuántica (2019).
Ambos lideran el Grupo de Filosofía de la Química de Buenos Aires (situado en Argentina), equipo interdisciplinario dedicado a la investigación en fundamentos y filosofía de la química.[77] Entre sus integrantes se cuentan: Alfio Zambon (filosofía de la química), Mariana Córdoba (filosofía de las ciencias), Sebastian Fortin (filosofía de la física), Juan Camilo Martínez González (filosofía e historia de la química), Fiorela Alassia (filosofía de la química y filosofía de las ciencias), Hernán Lucas Accorinti (filosofía de la química y filosofía de las ciencias), Manuel Herrera Araos (filosofía de la física) y Jesús Alberto Jaimes Arriaga (filosofía de la química).

El grupo se ha caracterizado por defender la autonomía ontológica de la química, la existencia de orbitales en la ontología de la química, el pluralismo ontológico (del cual han estudiado sus raíces kantianas) y el no-reduccionismo de la química a la física.[22][78][79][80][81] También han realizado trabajos donde se revisan los inconvenientes que presenta la mecánica cuántica al momento de querer ser compatibilizada con la química, como puede ser el caso de la incapacidad de la decoherencia cuántica para resolver el problema del isomerismo; a la vez que han evaluado la cuestión de la relación entre la química y la mecánica cuántica desde una perspectiva teórica, como en los de la teoría cuántica de los átomos en las moléculas y la mecánica bohmiana.[82][83][84][85][86] El problema de las categorías químicas también fue abordado en el contexto del grupo para el caso particular de los nanomateriales.[87]
Un aporte meritorio emanada del grupo es el nuevo sistema periódico propuesto por Alfio Zambon, basado en tríadas de números atómicos. La noción de tríada fue reintroducida en química por Eric Scerri, quien la sugirió como un posible criterio categórico para representar la periodicidad química.[88][89][90] Zambon reformuló la noción en términos de número atómico en lugar de pesos atómicos, con tal de que el valor del término intermedio de la tríada se convierta en la media exacta de los valores de los dos extremos. Con esta representación de la periodicidad química, todas las relaciones entre los elementos químicos que forman los grupos del sistema periódico puedan reconstruirse a partir de tríadas, sin utilizar configuraciones electrónicas.[91]
Véase también
Referencias
- Weisberg, Michael; Needham, Paul; Hendry, Robin (2019). Zalta, Edward N., ed. Philosophy of Chemistry (Spring 2019 edición). Metaphysics Research Lab, Stanford University. Consultado el 18 de agosto de 2023.
- Scerri, Eric R.; McINTYRE, Lee (1997). «The case for the philosophy of chemistry». Synthese 111 (3): 213-232. doi:10.1023/A:1004949814965. Consultado el 18 de agosto de 2023.
- Psarros, Nikos (1998). «[No title found]». Foundations of Science 3 (1): 183-202. doi:10.1023/A:1009611009965. Consultado el 18 de agosto de 2023.
- Martin Labarca. «Filosofía de la química - DIA». dia.austral.edu.ar. Consultado el 18 de agosto de 2023.
- Ebbing, Darrell D.; Gammon, Steven D. (2005). General chemistry (8. ed., Student ed edición). Houghton Mifflin. ISBN 978-0-618-39941-3.
- Reusch, William. «Chemical Reactivity». www2.chemistry.msu.edu (en inglés). Consultado el 19 de agosto de 2023.
- Joachim Schummer. «Philosophy of Chemistry». p. 2.
- Chamizo, José Antonio (2009-01). «Filosofía de la química: I. Sobre el método y los modelos». Educación Química 20 (1): 6-11. doi:10.1016/S0187-893X(18)30002-8. Consultado el 19 de agosto de 2023.
- Hoffmann, Roald (1995). The same and not the same. The George B. Pegram lecture series. Columbia University Pr. ISBN 978-0-231-10139-4.
- Woolley, R. G. (1978-02). «Must a molecule have a shape?». Journal of the American Chemical Society (en inglés) 100 (4): 1073-1078. ISSN 0002-7863. doi:10.1021/ja00472a009. Consultado el 19 de agosto de 2023.
- Primas, Hans (1981). «Chemistry, Quantum Mechanics and Reductionism». Lecture Notes in Chemistry (en inglés). ISSN 0342-4901. doi:10.1007/978-3-662-11314-1. Consultado el 19 de agosto de 2023.
- Ramsey, Jeffry L. (1 de junio de 1997). «MOLECULAR SHAPE, REDUCTION, EXPLANATION AND APPROXIMATE CONCEPTS». Synthese (en inglés) 111 (3): 233-251. ISSN 1573-0964. doi:10.1023/A:1004901931804. Consultado el 19 de agosto de 2023.
- «Quantum mechanics of many-electron systems». Proceedings of the Royal Society of London. Series A, Containing Papers of a Mathematical and Physical Character (en inglés) 123 (792): 714-733. 6 de abril de 1929. ISSN 0950-1207. doi:10.1098/rspa.1929.0094. Consultado el 18 de agosto de 2023.
- VanČik, Hrvoj (1 de octubre de 1999). «Opus Magnum: An Outline for the Philosophy of Chemistry». Foundations of Chemistry (en inglés) 1 (3): 239-254. ISSN 1572-8463. doi:10.1023/A:1009989903921. Consultado el 18 de agosto de 2023.
- Vemulapalli, G. Krishna; Byerly, Henry (1 de marzo de 1999). «Remnants of Reductionism». Foundations of Chemistry (en inglés) 1 (1): 17-41. ISSN 1572-8463. doi:10.1023/A:1009984310105. Consultado el 18 de agosto de 2023.
- Brakel, J. Van (1 de junio de 1997). «CHEMISTRY AS THE SCIENCE OF THE TRANSFORMATION OF SUBSTANCES». Synthese (en inglés) 111 (3): 253-282. ISSN 1573-0964. doi:10.1023/A:1004953915874. Consultado el 18 de agosto de 2023.
- Labarca, Martín (2005). «La Filosofía de la Química en la Filosofía de la ciencia contemporánea». Redes 11 (21): 155-171.
- Benfey, Theodor (1 de octubre de 2000). «Reflections on the Philosophy of Chemistry and a Rallying Call for Our Discipline». Foundations of Chemistry (en inglés) 2 (3): 195-205. ISSN 1572-8463. doi:10.1023/A:1009946914577. Consultado el 19 de agosto de 2023.
- Lombardi, Olimpia; Labarca, Martín (1 de enero de 2005). «The Ontological Autonomy Of The Chemical World». Foundations of Chemistry (en inglés) 7 (2): 125-148. ISSN 1572-8463. doi:10.1007/s10698-004-0980-6. Consultado el 19 de agosto de 2023.
- Scerri, Eric R. (2008-06). Realism, Reduction, and the "Intermediate Position". IMPERIAL COLLEGE PRESS. pp. 121-142. ISBN 978-1-84816-137-5. doi:10.1142/9781848161382_0008. Consultado el 19 de agosto de 2023.
- Jaap van Brakel. «The Nature of Chemical Substances». academic.oup.com. doi:10.1093/oso/9780195128345.003.0018. Consultado el 19 de agosto de 2023.
- Trindle, Carl (1984). «The Hierarchy of Models in Chemistry». Croatica Chemica Acta (en inglés) 57 (6): 1231-1245. ISSN 0011-1643. Consultado el 19 de agosto de 2023.
- Jacopo Tomasi (1999). «HYLE 5-2 (1999): Towards 'chemical congruence' of the models in theoretical chemistry». www.hyle.org. Consultado el 19 de agosto de 2023.
- Scerri, Eric R. (2000-04). «Philosophy of Chemistry—A New Interdisciplinary Field?». Journal of Chemical Education (en inglés) 77 (4): 522. ISSN 0021-9584. doi:10.1021/ed077p522. Consultado el 19 de agosto de 2023.
- Scerri, Eric R. (1 de enero de 2004). «Just how ab initio is ab initio quantum chemistry?». Foundations of Chemistry (en inglés) 6 (1): 93-116. ISSN 1572-8463. doi:10.1023/B:FOCH.0000020998.31689.16. Consultado el 19 de agosto de 2023.
- Melrose, Melvyn P.; Scerri, Eric R. (1996-06). «Why the 4s Orbital Is Occupied before the 3d». Journal of Chemical Education (en inglés) 73 (6): 498. ISSN 0021-9584. doi:10.1021/ed073p498. Consultado el 19 de agosto de 2023.
- Vanquickenborne, L. G.; Pierloot, K.; Devoghel, D. (1989-05). «Electronic configuration and orbital energies: the 3d-4s problem». Inorganic Chemistry (en inglés) 28 (10): 1805-1813. ISSN 0020-1669. doi:10.1021/ic00309a010. Consultado el 19 de agosto de 2023.
- Scerri, Eric R. (1989). «Transition Metal Configurations and Limitations of the Orbital Approximation». Journal of Chemical Education 66: 481-483.
- Vihalemm, R. (1 de enero de 2003). «Are Laws of Nature and Scientific Theories Peculiar in Chemistry? Scrutinizing Mendeleev's Discovery». Foundations of Chemistry (en inglés) 5 (1): 7-22. ISSN 1572-8463. doi:10.1023/A:1021980526951. Consultado el 19 de agosto de 2023.
- Christie, John R.; Christie, Maureen (1 de mayo de 2003). «Chemical Laws and Theories: A Response to Vihalemm». Foundations of Chemistry (en inglés) 5 (2): 165-174. ISSN 1572-8463. doi:10.1023/A:1023631726532. Consultado el 19 de agosto de 2023.
- Scerri, Eric R. (1998-11). «How Good Is the Quantum Mechanical Explanation of the Periodic System?». Journal of Chemical Education (en inglés) 75 (11): 1384. ISSN 0021-9584. doi:10.1021/ed075p1384. Consultado el 19 de agosto de 2023.
- Scerri, Eric R. (1991-02). «Chemistry, spectroscopy, and the question of reduction». Journal of Chemical Education (en inglés) 68 (2): 122. ISSN 0021-9584. doi:10.1021/ed068p122. Consultado el 19 de agosto de 2023.
- Hettema, Hinne; Kuipers, Theo A. F. (1988-05). «The periodic table — its formalization, status, and relation to atomic theory». Erkenntnis (en inglés) 28 (3): 387-408. ISSN 0165-0106. doi:10.1007/BF00184902. Consultado el 19 de agosto de 2023.
- Kuipers, Theo A. F.; Hettema, Hinne (2000). «The Formalization of the Periodic Table». Structuralist Knowledge Representation: Paradigmatic Examples. Amsterdam: Rodopi. pp. 285-305. ISBN 9789004457805.
- «Periodic Table of Elements». IUPAC | International Union of Pure and Applied Chemistry (en inglés estadounidense). Consultado el 19 de agosto de 2023.
- Brakel, Jaap (2000). Philosophy of Chemistry: Between the Manifest and the Scientific Image (en inglés). Leuven University Press. ISBN 978-90-5867-063-2. Consultado el 19 de agosto de 2023.
- Ruthenberg, Klaus, ed. (2008). Stuff: the nature of chemical substances ; [... workshop by the same name hosted by the Institute of Philosophy of the Catholic University of Leuven, Belgium, on July 25 and 26, 2006]. Königshausen & Neumann. ISBN 978-3-8260-3704-7.
- Needham, Paul (2011). «Microessentialism: What is the Argument». Noûs 45 (1): 1-21. ISSN 0029-4624. Consultado el 19 de agosto de 2023.
- Contreras, Ricardo (2011). «Aproximación a la filosofía de la química. Avances en Química.». Número de sistema: 000350707. 6. ISSN 1856-5301. Consultado el 2019.
- Johnstone, Alex H. (1 de enero de 2000). «TEACHING OF CHEMISTRY - LOGICAL OR PSYCHOLOGICAL?». Chemistry Education Research and Practice (en inglés) 1 (1): 9-15. ISSN 1756-1108. doi:10.1039/A9RP90001B. Consultado el 19 de agosto de 2023.
- Gabel, Dorothy (1999-04). «Improving Teaching and Learning through Chemistry Education Research: A Look to the Future». Journal of Chemical Education (en inglés) 76 (4): 548. ISSN 0021-9584. doi:10.1021/ed076p548. Consultado el 19 de agosto de 2023.
- Niaz, Mansoor; Rodríguez, María A. (1 de mayo de 2001). «DO WE HAVE TO INTRODUCE HISTORY AND PHILOSOPHY OF SCIENCE OR IS IT ALREADY ‘INSIDE’ CHEMISTRY?». Chemistry Education Research and Practice (en inglés) 2 (2): 159-164. ISSN 1756-1108. doi:10.1039/B1RP90015C. Consultado el 19 de agosto de 2023.
- Scerri, Eric R. (1 de mayo de 2001). «THE NEW PHILOSOPHY OF CHEMISTRY AND ITS RELEVANCE TO CHEMICAL EDUCATION». Chemistry Education Research and Practice (en inglés) 2 (2): 168. ISSN 1756-1108. doi:10.1039/B1RP90016A. Consultado el 19 de agosto de 2023.
- Martin Labarca (2006). «La Filosofía de la Química y su impacto en la Educación en Química». p. 8.
- Pérez-Tamayo, Ruy (2012). De la magia primitiva a la medicina moderna. México: Fondo de Cultura Económica. ISBN 9789681669485.
- Perry, Whitall N. (2015). La alquimia en la homeopatía. España: Plenum/Simillimum. ISBN 978-8476512012.
- Vidal, R. Benito (2005). La Alquimia. Madrid: Edimat Libros. ISBN 9788497644174.
- Szilasi, Wilhelm (1990). Que Es La Ciencia?. Fondo de Cultura Económica. ISBN 978-968-16-0562-9. Consultado el 19 de agosto de 2023.
- Mason, Stephen F. (2001). Historia de las ciencias: la ciencia antigua, la ciencia en Oriente y en la Europa medieval. Alianza. ISBN 978-84-206-3770-9. Consultado el 19 de agosto de 2023.
- Ricardo R. Contreras (2011). «Aproximación a la filosofía de la Química». p. 111.
- Bacon, Francis; Smith, George Charles Moore (2014). New Atlantis (Reprint edición). Cambridge University Press. ISBN 978-1-107-66364-0.
- Fochi, Gianni (2001-11). El secreto de la química. Ediciones Robinbook. ISBN 978-84-95601-27-8. Consultado el 19 de agosto de 2023.
- Moran, Bruce T. (1 de diciembre de 2000). «Alchemy, chemistry and the history of science». Studies in History and Philosophy of Science Part A 31 (4): 711-720. ISSN 0039-3681. doi:10.1016/S0039-3681(00)00032-7. Consultado el 19 de agosto de 2023.
- Libavius, Andreas (1597). Alchemia (en latín). Kopff. Consultado el 6 de marzo de 2024.
- «Jaap Van Brakel». hiw.kuleuven.be (en inglés). Consultado el 19 de agosto de 2023.
- Beethovenstraße 15, Prof Dr Nikolaos Psarros Lehrkr f bes Aufg Theoretische Philosophie work Geisteswissenschaftliches Zentrum. «Prof. Dr. Nikolaos Psarros». www.uni-leipzig.de (en inglés). Consultado el 6 de marzo de 2024.
- «Eric Scerri: Author, Chemist, Science Philosopher». www.ericscerri.com. Consultado el 19 de agosto de 2023.
- Macosko, Dr Jed (29 de abril de 2020). «Top Influential Chemists Today | Academic Influence». academicinfluence.com (en inglés). Consultado el 19 de agosto de 2023.
- Nudler, Oscar (1990). «On Conflicts and Metaphors: Toward an Extended Rationality». En John Burton, ed. Conflict: Human Needs Theory. London: Palgrave Macmillan UK. pp. 177-201. doi:10.1007/978-1-349-21000-8_9.
- Nudler, Oscar (2002). «Campos controversiales y progreso en filosofía». Manuscrito: Revista Internacional de Filosofia (en portugués) 25 (2): 337-352. ISSN 2317-630X. Consultado el 19 de agosto de 2023.
- Nudler, Óscar (2004). «Hacia un modelo de cambio conceptual: espacios controversiales y refocalización». Revista de filosofía (29): 7-19. ISSN 0034-8244. Consultado el 19 de agosto de 2023.
- Lombardi, Olimpia; Cordero, Alberto; Pérez Ransanz, Ana Rosa (2020). Zalta, Edward N., ed. Philosophy of Science in Latin America (Spring 2020 edición). Metaphysics Research Lab, Stanford University. Consultado el 19 de agosto de 2023.
- Nudler, Oscar, ed. (2011). Controversy spaces: a model of scientific and philosophical change. Controversies. Benjamins Publ. ISBN 978-90-272-1890-2.
- Restrepo, Guillermo; Villaveces, José L. (2011-10). «Chemistry, a lingua philosophica». Foundations of Chemistry (en inglés) 13 (3): 233-249. ISSN 1386-4238. doi:10.1007/s10698-011-9123-z. Consultado el 19 de agosto de 2023.
- Restrepo, Guillermo; Pachón, Leonardo (29 de junio de 2007). «Mathematical Aspects of the Periodic Law». Foundations of Chemistry (en inglés) 9 (2): 189-214. ISSN 1386-4238. doi:10.1007/s10698-006-9026-6. Consultado el 19 de agosto de 2023.
- Guillermo Restrepo and José L. Villaveces. «HYLE 19-1 (2013): Discrete Mathematical Chemistry: Social Aspects of its Emergence and Reception». www.hyle.org. Consultado el 19 de agosto de 2023.
- Chamizo, José Antonio (2013-07). «Technochemistry: One of the chemists’ ways of knowing». Foundations of Chemistry (en inglés) 15 (2): 157-170. ISSN 1386-4238. doi:10.1007/s10698-013-9179-z. Consultado el 19 de agosto de 2023.
- Chamizo, José A. (2017-07). «The fifth chemical revolution: 1973–1999». Foundations of Chemistry (en inglés) 19 (2): 157-179. ISSN 1386-4238. doi:10.1007/s10698-017-9280-9. Consultado el 19 de agosto de 2023.
- Chamizo, José A. (2019-04). «About continuity and rupture in the history of chemistry: the fourth chemical revolution (1945–1966)». Foundations of Chemistry (en inglés) 21 (1): 11-29. ISSN 1386-4238. doi:10.1007/s10698-018-9308-9. Consultado el 19 de agosto de 2023.
- «Grupo de Filosofía de la Química de Buenos Aires». www.filoexactas.exactas.uba.ar. Consultado el 19 de agosto de 2023.
- Labarca, Martín; Lombardi, Olimpia (2010-10). «Why orbitals do not exist?». Foundations of Chemistry (en inglés) 12 (2): 149-157. ISSN 1386-4238. doi:10.1007/s10698-010-9086-5. Consultado el 19 de agosto de 2023.
- Lombardi, Olimpia (2014). «The Ontological Autonomy of the Chemical World: Facing the Criticisms». En Eric Scerri, Lee McIntyre, ed. Philosophy of Chemistry: Growth of a New Discipline. Dordrecht: Springer Netherlands. pp. 23-38. doi:10.1007/978-94-017-9364-3_3.
- Lombardi, Olimpia; Labarca, Martín (2006-02). «The ontological autonomy of the chemical world: a response to Needham». Foundations of Chemistry (en inglés) 8 (1): 81-92. ISSN 1386-4238. doi:10.1007/s10698-005-9004-4. Consultado el 19 de agosto de 2023.
- Córdoba, Mariana; Lombardi, Olimpia (2013). «A Kantian Perspective for the Philosophy of Chemistry». En Jean-Pierre Llored, ed. The Philosophy of Chemistry: Practices, Methodologies, and Concepts. Newcastle upon Tyne: Cambridge Scholars Publishing. pp. 478-490. ISBN 978-1-4438-4605-9.
- Lombardi, Olimpia; Castagnino, Mario (2010-10). «Matters are not so clear on the physical side». Foundations of Chemistry (en inglés) 12 (2): 159-166. ISSN 1386-4238. doi:10.1007/s10698-010-9090-9. Consultado el 19 de agosto de 2023.
- González, Juan Camilo Martínez; Fortin, Sebastian; Lombardi, Olimpia (2019-04). «Why molecular structure cannot be strictly reduced to quantum mechanics». Foundations of Chemistry (en inglés) 21 (1): 31-45. ISSN 1386-4238. doi:10.1007/s10698-018-9310-2. Consultado el 19 de agosto de 2023.
- Fortin, Sebastian; Lombardi, Olimpia; Martínez González, Juan Camilo (2016-10). «Isomerism and decoherence». Foundations of Chemistry (en inglés) 18 (3): 225-240. ISSN 1386-4238. doi:10.1007/s10698-016-9251-6. Consultado el 19 de agosto de 2023.
- Jaimes Arriaga, Jesus Alberto; Fortin, Sebastian; Lombardi, Olimpia (2019-04). «A new chapter in the problem of the reduction of chemistry to physics: the Quantum Theory of Atoms in Molecules». Foundations of Chemistry (en inglés) 21 (1): 125-136. ISSN 1386-4238. doi:10.1007/s10698-018-09332-1. Consultado el 19 de agosto de 2023.
- Fortin, Sebastian; Lombardi, Olimpia; González, Juan Camilo Martínez (2017-04). «The relationship between chemistry and physics from the perspective of Bohmian mechanics». Foundations of Chemistry (en inglés) 19 (1): 43-59. ISSN 1386-4238. doi:10.1007/s10698-017-9277-4. Consultado el 19 de agosto de 2023.
- Córdoba, Mariana; Zambon, Alfio (2017-10). «How to handle nanomaterials? The re-entry of individuals into the philosophy of chemistry». Foundations of Chemistry (en inglés) 19 (3): 185-196. ISSN 1386-4238. doi:10.1007/s10698-017-9283-6. Consultado el 19 de agosto de 2023.
- Scerri, Eric R. (2007). The Periodic Table: Its Story and Its Significance (en inglés). Oxford University Press, USA. ISBN 978-0-19-530573-9. Consultado el 19 de agosto de 2023.
- Scerri, Eric (2008-04). «The Role of Triads in the Evolution of the Periodic Table: Past and Present». Journal of Chemical Education (en inglés) 85 (4): 585. ISSN 0021-9584. doi:10.1021/ed085p585. Consultado el 19 de agosto de 2023.
- Scerri, Eric (1 de abril de 2010). «Explaining the periodic table, and the role of chemical triads». Foundations of Chemistry (en inglés) 12 (1): 69-83. ISSN 1572-8463. doi:10.1007/s10698-010-9082-9. Consultado el 19 de agosto de 2023.
- Zambon, Alfio (2018-04). «A representation of the periodic system based on atomic-number triads». Foundations of Chemistry (en inglés) 20 (1): 51-74. ISSN 1386-4238. doi:10.1007/s10698-017-9297-0. Consultado el 19 de agosto de 2023.
Enlaces externos
Foundations of Chemistry es una revista internacional que constituye un foro interdisciplinar en el que químicos, bioquímicos, filósofos, historiadores, educadores y sociólogos debaten cuestiones conceptuales y fundamentales relacionadas con la "ciencia central" de la química. Entre los temas tratados figuran el papel autónomo de la química entre la física y la biología y la cuestión de la reducción de la química a la mecánica cuántica.
HYLE es una revista internacional arbitrada con doble ciego dedicada a todos los aspectos filosóficos de la química. Los artículos abordan problemas epistemológicos, metodológicos, fundacionales y ontológicos de la química y sus subcampos; las peculiaridades de la química y sus relaciones con la tecnología y otros campos científicos y no científicos; cuestiones estéticas, éticas y medioambientales de la química; así como facetas filosóficamente relevantes de la historia, la sociología, la lingüística y la educación de la química. La revista ofrece artículos y ensayos originales de gran calidad, reseñas de libros, informes y biografías breves.
La International Society for the Philosophy of Chemistry (ISPC) se dedica al intercambio internacional de ideas sobre los fundamentos filosóficos de las ciencias químicas y áreas afines. Este intercambio fomenta el discurso entre químicos, bioquímicos, filósofos, historiadores, sociólogos y educadores.
El Grupo de Filosofía de la Química forma parte del Grupo de filosofía de las Ciencias (GFC) perteneciente conjuntamente a la Facultad de Filosofía y Letras y a la Facultad de Ciencias Exactas y Naturales de la Universidad de Buenos Aires. Es un equipo interdisciplinario dedicado a la investigación en fundamentos y filosofía de la química.
Educación Química es una revista con carácter internacional que cubre temas de actualización del profesorado, el sector profesional y el alumnado; de exploración didáctica de temas de difícil aprendizaje; difusión de la química; empleo de la historia para la enseñanza de la química; intercambio de medios y criterios de evaluación del aprendizaje; promoción de la enseñanza de la ciencia experimental y la tecnología; intercambio de experiencias de diseño, evaluación curricular e investigación educativa; conexión entre los diversos niveles educativos; debate sobre los grandes problemas de la educación y promoción de la participación del estudiantado en química. A fines de 2022, suman más de mil quinientos artículos publicados, los cuales pueden ser consultados en la página electrónica de la revista.
La American Chemical Society (ACS) es la mayor sociedad científica del mundo y una de las principales fuentes de información científica relacionada con la química a través de revistas revisadas por pares, libros digitales, materiales de referencia y herramientas educativas. Las investigaciones de los ganadores del Premio Nobel de Química y Medicina se han publicado en revistas y libros digitales de ACS Publications.
- Entradas de Philosophy of Chemistry y Philosophy of Science in Latin America en la Stanford Encyclopedia of Philosophy
La Stanford Encyclopedia of Philosophy organiza a especialistas de todo el mundo en filosofía y disciplinas afines para crear y mantener una obra de referencia actualizada. La entrada de Philosophy of Chemistry permite conocer el estado actual de la subdisciplina, y la entrada de Philosophy of Science in Latin America tiene una sección dedicada al desarrollo de la filosofía de la química en Latinoamérica.
La International Union of Pure and Applied Chemistry (IUPAC) es la autoridad mundial en nomenclatura y terminología químicas, incluida la denominación de nuevos elementos en la tabla periódica; en métodos normalizados de medición; y en pesos atómicos, y muchos otros datos evaluados críticamente.