Ecteinascidinas
Las ecteinascidinas son un grupo de alcaloides aislados de ascidias (Urochordata), principalmente de Ecteinascidia turbinata. La trabectedina es también denominada como Ecteinascidina 743.[1][2] Muchas de estas moléculas presentan actividad citotóxica e inhiben la biosíntesis de ADN[3]
Propiedades
| Nombre | Estructura | Fórmula molecular | CAS | Masa molecular (g/mol) | Estado | Fuente natural | Otras propiedades |
|---|---|---|---|---|---|---|---|
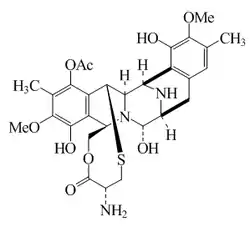
| Ecteinascidina 597 | ![]() |
C30H37N3O9S | 184300-07-0 | 615.703 | Sólido color pardo claro. | Aislado del tunicado caribeño Ecteinascidia turbinata | Muestra una potente inhibición del ADn y ARN, además de la actividad de la ARN polimerasa. Es ligeramente citotóxido contra varias líneas celulares. [α]25D = -49 (c, 0.17 en MeOH). UV: [neutral]λmax207 (ε46000) ;230 (ε15000) ;278 (ε3500) ;285 (ε3800) [neutro]λmax207 (ε46000) ;278 (ε3500) ;285 (ε3800) (MeOH) |
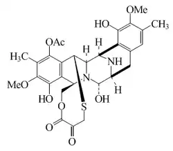
| Ecteinascidina 583 | ![]() |
C29H35N3O9S | 184300-08-1 | 601.676 | Sólido amarillo claro. | Aislado de Ecteinascidia turbinata[4] | Muestra potente inhibición de la síntesis del ADN y el ARN, así como de la ARD polimerasa. Citotóxico contra algunas líneas celulares.[α]22D = -47 (c, 0.14 en cloroformo/metanol, 6:1), UV: [neutro]λmax207 (ε48000) ;230 (ε9200) ;280 (ε2100) ;290 (ε2300) ( no solvent reported) [neutral]λmax207 (ε48000) ;280 (ε2100) ;290 (ε2300) ( MeOH) |
| Ecteinascidina 594 | ![]() |
C30H32N2O10S | 184300-09-2 | 612.656 | Sólido amarillo claro. | Aislado de la ascidia Ecteinascidia turbinata | Muestra potente inhibición de la síntesis del ADN y el ARN, así como de la ARD polimerasa. Citotóxico contra algunas líneas celulares.[α]22D = -58 ( c, 1.1 en MeOH). UV: [neutro]λmax207 (ε60500) ;230 (ε11000) ;287 (ε2900) (MeOH) |
| Ecteinascidina 596 | ![]() |
C30H34N2O10S | 184300-10-5 | 614.672 | Aislado de Ecteinascidia turbinata | ||
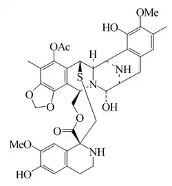
| Ecteinascidina 722 | ![]() |
C39H40N4O9S | 144285-84-7 | 740.832 | Polvo amarillo PF = 160 - 164 °C | Aislado de la ascidia Ecteinascidia turbinata[5] | Agente citotóxico. [α]D = -40 (c, 1.64 en cloroformo) |
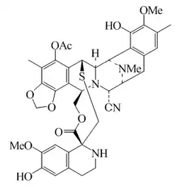
| Ecteinascidina 736 | ![]() |
C40H42N4O9S | 144285-85-8 | 754.859 | Agujas (MeCN) descomponen a 40 °C | Aislado de la ascidia Ecteinascidia turbinata | Agente citotóxico. [α]D = -76 (c, 0.5 en cloroformo) |
| Ecteinascidina 759B | ![]() |
C39H43N3O12S | 114899-29-5 | 777.848 | Sólido | Aislado de la ascidia Ecteinascidia turbinata | Agente antineoplástico |
| Ecteinascidina 759C | ![]() |
C39H43N3O12S | 146663-68-5 | 777.848 | Prismas (MeCN) Descompone a 150 °C | Aislado de la ascidia Ecteinascidia turbinata[6] | [α]25D = -55 (c, 0.22 en cloroformo) |
| Ecteinascidina 729 | ![]() |
C38H41N3O11S | 114899-27-3 | 747.821 | Sólido | Aislado de la ascidia Ecteinascidia turbinata | Agente antineoplástico. Inmunorregulador. Soluble en metanol, benceno y diclorometano. UV: [ácido]λmax203 (ε62000) ;240 (ε9000) ;288 (ε6500) ( 0.1N HCl) [base]λmax235 (ε38000) ;252 (ε9000) ;295 (ε6500) ( 0.1N KOH) [neutro]λmax202 (ε81000) ;240 (ε15000) ;287 (ε6200) ( MeOH) [neutro]λmax202 (ε61000) ;283 (ε5000) ;284 (ε4700) ( MeOH) [ácido]λmax204 (ε61000) ;283 (ε4800) ;289 (ε4300) ( MeOH-HCl) [base]λmax215 (ε33800) ;258 (ε8200) ;290 (ε6400) ( MeOH/NaOH) |
| Ecteinascidina 759A | ![]() |
C39H41N3O11S | 114899-30-8 | 759.832 | Sólido | Aislado de la ascidia Ecteinascidia turbinata | |
| Ecteinascidina 745 | ![]() |
C39H43N3O10S | 114899-28-4 | 745.849 | Sólido | Aislado de la ascidia Ecteinascidia turbinata | Agente antineoplástico. Inmunorregulador. Soluble en metanol, diclorometano y benceno. UV: [neutro]λmax202 (ε52000) ;281 (ε5600) ;287 (ε5400) (MeOH) [ácido]λmax204 (ε51000) ;281 (ε5200) ;287 (ε5200) (MeOH/HCl) [base]λmax215 (ε36000) ;254 (ε8300) ;290 (ε5900) ;298 (ε5800) (MeOH/NaOH). |
| Ecteinascidina 770 | ![]() |
C40H42N4O10S | 114899-80-8 | 770.859 | Prismas (Metanol). Descomponen a 217 °C. | Aislado de la ascidia Ecteinascidia turbinata y Ecteinascidia thurstoni | Agente antineoplástico. Inmunorregulador. [α]24D = -58.5 (c, 1 en cloroformo). Soluble en metanol, diclorometano y benceno. UV: [neutro]λmax216 (ε66000) ;234 (ε55000) ;240 (ε58000) ;263 (ε25000) ;299 (ε22000) ;329 (ε3900) ;342 (ε3200) ( MeOH) [ácido]λmax216 (ε71000) ;234 (ε57000) ;240 (ε58000) ;263 (ε29000) ;299 (ε24000) ;329 (ε5700) ;342 (ε4900) ( MeOH/HCl) [base]λmax216 (ε57000) ;234 (ε57000) ;240 (ε58000) ;263 (ε28000) ;299 (ε22000) ;329 (ε4900) ;342 (ε3700) ( MeOH/NaOH). |
| Ecteinascidina 786 | ![]() |
C40H42N4O11S | 442851-31-2 | 786.858 | Prismas. Descomponen a 198 °C. | Aislado de la ascidia Ecteinascidia thurstoni | [α]24D = -156.9 (c, 0.6 en cloroformo) |
Biosíntesis
Estas moléculas se biosintetizan por dimerización de dos unidades de tetrahidroisoquinolina formada por acción de subunidades enzimáticas relacionados con las polipéptido sintasas no ribosomales denominadas Pictect-Spenglerasas.[7]
Referencias
- Wright, A.E. et al., JOC, 1990, 55, 4508
- Rinehart, K.L. et al., JOC, 1990, 55, 4512- 4515
- Carter, N.J. et al., Drugs, 2007, 67, 2257- 2276
- Sakai, R. et al., JACS, 1996, 118, 9017- 9023
- Sakai, R. et al., Proc. Natl. Acad. Sci. U.S.A., 1992, 89, 11456- 11460
- Sakai, R. et al., Proc. Natl. Acad. Sci. U.S.A., 1992, 89, 11456- 11460
- Koketsu et al. Current Opinion in Chemical Biology 2012, 16:142–149
Véase también
Este artículo ha sido escrito por Wikipedia. El texto está disponible bajo la licencia Creative Commons - Atribución - CompartirIgual. Pueden aplicarse cláusulas adicionales a los archivos multimedia.












