Diisocianato
Los diisocianatos son unos compuestos químicos caracterizados por tener dos grupos funcionales isocianato (-N=C=O) como parte de su estructura química, y que se caracteriza por su alta reactividad frente a nucleófilos. Los diisocianatos reaccionan con polioles para formar poliuretanos y con las diaminas para formar poliureas.[1]

Diisocianatos aromáticos y alifáticos
Los diisocianatos aromáticos son aquellos que contienen una estructura aromática en su arquitectura molecular. Los alifáticos, sin embargo son aquellos que no contienen estructuras aromáticas. Algunos diisocianatos son como el aromático diisocianato de 4,4´-difenil metano (MDI) son sólidos a temperatura ambiente, mientras que otros como el alifático diisocianato de 1,6-hexametileno (HDI) son casi transparentes y fluidos. En ocasiones son mantenidos en atmósfera seca de nitrógeno.
La estructura molecular del diisocianato es un factor determinante en las propiedades finales del poliuretano y es un factor importante que afecta a la cristalinidad[2] y propiedades mecánicas finales.[3] Otras propiedades como la biodegradabilidad o biocompatibilidad,[4] cinética de reacción o carácter hidrofílico también varían con el tipo de diisocianato empleado en su preparación. Los diisocianatos cuyos grupos isocianatos se encuentran conjugados con la estructura aromática son mucho más reactivos frente a los nucleófilos que aquellos que no lo están o que son de naturaleza alifática.[5]
Los diisocianatos tienen además propiedades adhesivas muy apreciadas, por lo que también sirven de aglomerantes para fabricar bloques poli-material. Un ejemplo de aplicación sorprendente es su uso para aglomerar piedras y formar rompeolas para proteger costas.
Diisocianatos comunes
A nivel industrial , los diisocianatos más utilizados son los aromáticos el diisocianato de tolueno (TDI) y el diisocianato de 4,4´-difenilmetano (MDI), que componen el 95 % de los poliuretanos comerciales. Sin embargo, debido a su estructura aromática con dobles enlaces conjugados a lo largo de la cadena del segmento rígido, presentan inconvenientes como inestabilidad a la radiación ultravioleta,[1] que los hacen amarillear a corto plazo.
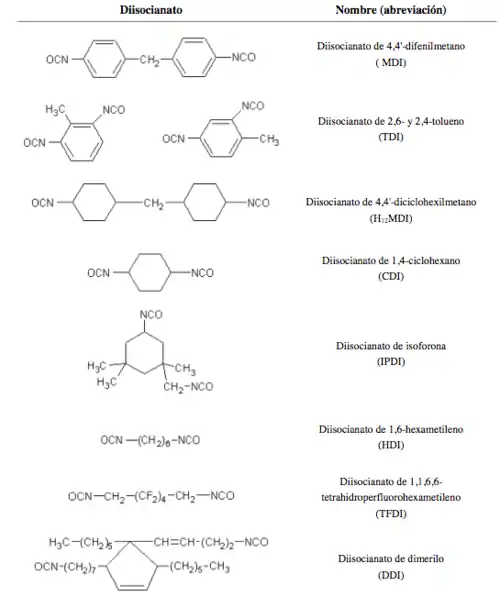
En la tabla de la derecha además de los diisocianatos más empleados, como el MDI o el TDI, junto con otros de naturaleza alifática, considerados interesantes en la síntesis de poliuretanos para aplicaciones biomédicas, tales como el mencionado HDI, el diisocianato de 4,4´-diciclohexilmetano (H12MDI), el diisocianato de 1,4-ciclohexano (CDI), o el diisocianato de isoforona (IPDI). En la tabla, también se presenta un diisocianato fluorado, diisocianato de 1,1,6,6-tetrahidroperfluorohexametileno (TFDI), que tiene aplicaciones en el campo biomédico cuando se requiere baja actividad trombogénica. También se presenta un diisocianato de origen renovable, derivado del ácido linoleico, diisocianato de dimerilo (DDI). Puede considerarse como un precursor para la obtención de poliuretanos a partir de fuentes renovables.[6]
Síntesis
Los diisocianatos son normalmente sintetizados mediante la fosgenación a aminas. Sin embargo hay otras rutas de síntesis análogas a la síntesis de otros isocianatos.
Referencias
- Hepburn, C. (1992). Polyurethane Elastomers. Elsevier
- Fernández-d´Arlas, B.; Rueda, L.; de la Kaba, K.; Mondragon, I.; Eceiza, A. (2008). «Microdomain composition and properties differences of biodegradable polyurethanes based on MDI and HDI». Polym. Eng. Sci. 48 (3): 519-529. doi:10.1002/pen.20983.
- Lee, D.K.; Tsai, H.B. (1999). «Properties of segmented polyurethanes derived from different diisocyanates». J. Appl. Poly. Sci. 75 (1): 167-174. doi:10.1002/(SICI)1097-4628(20000103)75:1<167::AID-APP19>3.0.CO;2-N.
- Tang, Y.W.; labow, R.S.; santerre, J.P. (2001). «Enzyme-induced biodegradation of polycarbonate-polyurethanes: Dependence on hard-segment chemistry». J. Biomed. Mat. Res. 57 (4): 597-611. doi:10.1002/1097-4636(20011215)57:4<597::AID-JBM1207>3.0.CO;2-T.
- Fernández-d'Arlas, B.; Rueda, L.; Stefani, P.; de la caba, K.; Mondragon, I.; Eceiza, A. (2007). «Kinetic and thermodynamic studies of the formation of a polyurethane based on 1,6-hexamethylene diisocyanate and poly(carbonate-co-ester)diol». Thermochim. Acta 459: 94-103.
- Gogolewski, S (1989). «Selected topics in biomedical polyurethanes. A review.». Colloid Polym Sci 267 (9): 757-785. doi:10.1007/BF01410115.