Dietilpropión
El dietilpropión es un anorexígeno (supresor del apetito) considerado que produce menos alteraciones del sistema nervioso central que la mayoría de los fármacos de esta categoría terapéutica. También es considerado como uno de los más seguros para los pacientes con hipertensión. Es un fármaco simpaticomimético que actúa sobre los receptores α y β hipotalámicos. También se le conoce como anfepramona.[1]
| Dietilpropión | ||
|---|---|---|
![]() | ||
| Nombre (IUPAC) sistemático | ||
| (±)-2-(dietilamino)-1-fenilpropan-1-ona | ||
| Identificadores | ||
| Número CAS |
90-84-6 (Clorhidrato) 134-80-5 | |
| Código ATC | A08AA03 | |
| PubChem | 7029 | |
| DrugBank | DB00937 | |
| ChemSpider | 6762 | |
| ChEBI | 4530 | |
| Datos químicos | ||
| Fórmula | C13H19NO | |
| Peso mol. | 205.30 g/mol | |
|
CCN(CC)C(C)C(=O)C1=CC=CC=C1
| ||
|
InChI=XXEPPPIWZFICOJ-UHFFFAOYSA-N
| ||
| Sinónimos |
Ver lista (1) Anfepramona
(2) Amfepramona (3) Alfa-Dietilaminopropiofenona (4) Dietilcatinona | |
| Farmacocinética | ||
| Metabolismo | Hepático | |
| Vida media | 4-6 horas | |
| Excreción | Renal | |
| Datos clínicos | ||
| Nombre comercial | Tenuate Dospan® | |
| Uso en lactancia | Moderadamente seguro. Usar solo si el beneficio potencial justifica el riesgo potencial para el bebé. (en todos los países) | |
| Cat. embarazo | Los estudios en animales no han demostrado efectos adversos sobre el feto, pero no hay estudios clínicos adecuados y bien controlados hechos en embarazadas. Puede emplearse con vigilancia médica. (EUA) | |
| Estado legal | Grupo III (MEX) | |
| Vías de adm. |
Vías de administración
| |
Antecedentes históricos
Aunque el dietilpropión fue creado en la década de 1920, este derivado de las anfetaminas no se comercializó para la pérdida de peso hasta alrededor de 1960. La droga alcanzó gran popularidad y más de 30 millones de personas alrededor del mundo habían tomado el fármaco en 1978. Ese año, se prescribieron 1.5 millones de recetas, pero el número se redujo a solo un cuarto de esa cantidad en 1988 cuando el mundo de la medicina se volvió más consciente de los inconvenientes de la droga.[2]
Química
Químicamente, el dietilpropión es el análogo N, N-dietil de la catinona. La propiofenona se trata con bromo para formar 2-bromopropiofenona, se condensa luego con dietilamina para dar el dietilpropión (base). La base purificada se disuelve en un disolvente adecuado y se trata con cloruro de hidrógeno para formar la sal (Clorhidrato).[3] Se caracteriza por presentar un radical metilo en el carbono alfa, la incorporación de un grupo cetona en el carbono beta y dos grupos etilo en el grupo amino terminal de la molécula feniletilamina. La sustitución en el carbono beta minimiza el potencial para la estimulación del sistema nervioso central y el aumento de la presión arterial.[4]
Farmacodinamica
Su mecanismo de acción es similar al de otros supresores del apetito tales como sibutramina, fentermina y dextroanfetamina. Los seres humanos encuentran los efectos de la droga similares a los de dextroanfetamina, pero a un nivel más débil. Un experimento encontró que la dextroanfetamina es 6 a 11 veces más fuerte que el dietilpropión cuando se administra por vía oral, y 10 a 20 veces más fuerte cuando se administra por inyección subcutánea.[5]
Mecanismo de acción
El dietilpropión es una anfetamina que estimula las neuronas para liberar o mantener altos niveles de un grupo particular de neurotransmisores conocidos como catecolaminas, que incluyen la dopamina y noradrenalina. Los altos niveles de estas catecolaminas tienden a suprimir las señales de hambre y el apetito. El dietilpropión (a través de la elevación de catecolaminas) también puede afectar indirectamente a los niveles de leptina en el cerebro. Se teoriza que el dietilpropión puede elevar los niveles de leptina que señalizan la saciedad. También se teoriza que los niveles elevados de las catecolaminas son parcialmente responsables de frenar otro mensajero químico conocido como neuropéptido Y. Este péptido inicia el impulso de comer, disminuye el gasto de energía, y aumenta el almacenamiento de grasa.[6] Normalmente a dosis terapéuticas, el dietilpropión no produce la estimulación del SNC, característica de las anfetaminas, sino que su actividad se sitúa principalmente a nivel del hipotálamo, regulando los centros de saciedad y de apetito, los cuales son sensibles a la estimulación adrenérgica.
El dietilpropión es un fármaco usado como complemento de la restricción calórica en el tratamiento a corto plazo (algunas semanas) de la obesidad exógena. Se emplea en pacientes con índice de masa corporal inicial (IMC) ≥ 30 kg/m2 que no han respondido al correspondiente régimen de reducción de peso (dieta y/o ejercicio) por sí solo. Se administra solamente a corto plazo en monoterapia, no para su uso en combinación con otros fármacos para la pérdida de peso.[7]
Metabolismo
El dietilpropión se metaboliza ampliamente a través de una vía compleja de biotransformación que involucra N-desalquilación y reducción. Muchos de estos metabolitos son biológicamente activos y pueden participar en la acción terapéutica del fármaco. El dietilpropión y/o sus metabolitos activos se cree que atraviesan la barrera hematoencefálica y la placenta. El dietilpropión y sus metabolitos se excretan principalmente por el riñón.
Usos
El compuesto interfiere con el sueño, pero tiene menos efectos estimulantes anorexígenos que algunos otros fármacos. Los usuarios sienten menos fatiga que con la fenfluramina, y los efectos indeseables del dietilpropión desaparecen más rápido que los de esta sustancia cuando se suspende el medicamento. Los estudios de pacientes tratados para la pérdida de peso el dietilpropión mostraron solo un efecto insignificante sobre la frecuencia cardíaca o la presión arterial y el compuesto se considera una buena opción para los pacientes con presión arterial alta.
Usos experimentales
El dietilpropión se ha utilizado experimentalmente para reducir el deseo por la cocaína, con cierto éxito. Algunos investigadores cuestionan esta afirmación, sin embargo, señalando que el ansia de cocaína disminuye en un entorno de hospital, independientemente de si los pacientes reciben dietilpropión o un placebo. En un estudio de dos semanas, los ex consumidores de crack que recibieron dietilpropión no mostraron ningún cambio en las pruebas de habilidades de pensamiento. Ese resultado se interpreta en el sentido de que a corto plazo el uso de dietilpropión puede no causar ningún daño apreciable en el funcionamiento del cerebro. Otro uso experimental del fármaco ha sido para el alivio del dolor de la artritis. Los pacientes experimentaron incremento de confort pero sin aumento en su capacidad de utilizar las articulaciones afectadas.[8]
Efectos adversos
Leves efectos no deseados pueden incluir mareos, sequedad de boca y estreñimiento. En un estudio de 132 pacientes que tomaban el fármaco, alrededor del 3% tuvieron experiencias como euforia, temblores musculares o dificultad para dormir. Los informes científicos indican que la droga rara vez tiene efectos adversos físicos, la literatura médica menciona sobre un adicto que ingirió 30 a 100 veces la cantidad recomendada cada día sin gran impacto. Pero existen excepciones a la relativa seguridad de la droga. El dietilpropión es sospechoso de estar involucrado en un caso en el que una persona sufrió accidentes cerebrovasculares menores (ataques isquémicos transitorios), es sospechoso de contribuir a un caso de problemas del corazón, y es conocido por causar problemas del corazón si se toma una sobredosis. Una aflicción rara atribuida a la droga es el desarrollo excesivo de los vestigios de las glándulas mamarias masculinas (ginecomastia).
Dietilpropión y psicosis
La droga puede causar psicosis, sobre todo cuando se toma junto con un inhibidor de la monoaminooxidasa. Un usuario aseguraba sentirse bajo el asedio de personas que utilizaban telepatía mental sobre él, y otra escuchaba voces; una mujer pensó que un televisor la observaba, una persona más comenzó a preocuparse porque creyó que otra persona utilizaba el "mal de ojo" para matar a un niño. En algunos casos esos problemas cesaron después de que la ingesta de la droga se detuvo, pero en otros la enfermedad reapareció. Un terapeuta hizo notar que en este último tipo de casos sospechosos las personas habrían desarrollado psicosis, independientemente de si se utiliza dietilpropión o no.
Factores abuso
Los efectos de tipo anfetamínico de la droga son lo suficientemente fuertes como para haber producido un mercado ilícito de dietilpropión en la década de 1960, pero las grandes encuestas que determinaban los niveles de abuso de diversas drogas jamás hizo mención alguna del dietilpropión durante el pico de popularidad de la droga en la década de 1970. En ese análisis, de 5.204 muestras de drogas callejeras solo se encontró una que contenía dietilpropión. Los pacientes tratados con la droga deben ser cuidadosamente supervisados y no se debe prescribir a personas con trastorno de la personalidad,[9] evidencia anterior de abuso de anfetaminas, alcohol u otras drogas, o aquellos con antecedentes de eventos psiquiátricos.[10] Debido a que el compuesto produce efectos semejantes a los de las anfetaminas, el dietilpropión no se recomienda para personas que han sufrido de una enfermedad psicológica o abuso de drogas. Los abusadores compulsivos reportan sensaciones agradables que pueden obtenerse de uno a tres días, pero después, el nerviosismo y la inquietud predominan si se continúa la dosificación. Se desarrolla tolerancia a las acciones estimulantes de la droga. El dietilpropión no está recomendado para uso en niños menores de 12 años de edad.[11]
Interacciones con otros medicamentos
Experimentos con ratones demuestran que el alcohol y el dietilpropión producen más actividad locomotora que cualquier de las sustancias solas. Investigadores en Brasil especulan que la combinación de las dos sustancias puede aumentar otras sensaciones de estimulación, tal vez explique por qué el uso de alcohol y drogas anoréxicas juntas son supuestamente tan populares en ese país.
La administración concomitante del dietilpropión:
- Con inhibidores de la monoaminooxidasa está contraindicada, dado que se pueden presentar crisis hipertensivas graves, además la administración posterior o previa a un IMAO debe hacerse mínimo con 14 días de intervalo entre ambos fármacos.
- Con bloqueadores beta puede aumentar la actividad a nivel de los receptores a-adrenérgicos y amplificar los efectos colaterales asociados a su estimulación.
- Con antidepresivos tricíclicos se pueden presentar disritmias cardiacas, retención urinaria, constipación. Con la reserpina o las fenotiazinas se atenúan o anulan sus efectos. Disminuye la actividad antihipertensiva de la guanetidina y de la alfametildopa, entre otros.
- Con efedrina se adicionan los efectos simpaticomiméticos.
- Con digitálicos, puede causar trastornos del ritmo cardiaco.
- En general, la ingesta de alcohol debe abolirse durante el tratamiento.
El embarazo y la lactancia
Las pruebas con conejos, ratones y ratas no produjeron defectos de nacimiento. Un caso en el que una mujer embarazada tomando dietilpropión dio a luz a un niño malformado levantó el temor de que pueda causar daño fetal, pero los estudios de las mujeres embarazadas que toman el medicamento no atribuyen los defectos de nacimiento al mismo. Sin embargo, el potencial de defectos congénitos humanos es desconocido.[12] El fármaco se excreta en la leche materna. En México, el dietilpropión no debe administrarse a la mujer durante el embarazo ni la lactancia y el médico tratante debe recomendar medios eficaces de contracepción durante el tratamiento en mujeres con vida sexual activa y en edad de concepción.
Información adicional
El dietilpropión y el bupropión, son un compuesto antidepresivo y ayuda contra el tabaquismo, no solo comparten el mismo motivo estructural sino que también presentan mecanismos de acción similares en el SNC. Por ejemplo, los dos fármacos inducen la liberación, así como la inhibición de la recaptación de neurotransmisores tales como la dopamina y la noradrenalina. En general, producen efectos secundarios leves, incluyendo alteraciones psicomotoras reversibles mayormente en los pacientes geriátricos (por el bupropión), o cambios moderados en el contenido de neurotransmisores relacionados con el daño oxidativo (por el dietilpropión). Por lo tanto, se debe prestar atención durante cualquier uso terapéutico de estos agentes.[13]
En los últimos años de la década de 1980 la distribución total de dietilpropión y otros anorexígenos se comparó con la población de Brasil, dando suficientes fármacos como para suministrar una dosis diaria en aproximadamente 1.4% de la población que podía permitirse el lujo de comprarlos, lo que equivale a decir que un 0.7% de la población más rica se podría tomar dos dosis al día. El porcentaje de usuarios se convierte en un tercio de los totales si las dosis se repartieran entre toda la población y no solo entre los que tienen dinero suficiente para comprar los medicamentos. Mediante un estudio, otros investigadores midieron el uso de anorexígenos en un total de 1.3% de la población en un área del sur de Brasil en 1994, confinándose principalmente a las mujeres de clase alta con los fármacos bajo prescripción médica. Los porcentajes metían en conjunto el uso de dietilpropión con otros anorexígenos, así que el uso de dietilpropión sería una fracción pequeña de estos porcentajes. Y el uso recreativo de dietilpropión junto con alcohol sería más pequeño todavía.
El 28 de octubre de 2022 el Comité para la Evaluación de Riesgos en Farmacovigilancia (PRAC, por sus siglas en inglés) de la Agencia Europea del Medicamento (EMA, por sus siglas en inglés) ha confirmado su recomendación de retirar las autorizaciones de comercialización de los medicamentos para la obesidad con anfepramona, tras observar riesgo de problemas cardíacos y psiquiátricos.[14]
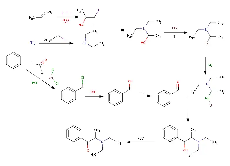
Síntesis

Referencias
- Se prefiere el nombre dietilpropión ya que ese es el que aparece más comúnmente en la literatura científica.
- Miller, Richard Lawrence (2002). The Encyclopedia of Addictive Drugs. Westport, Connecticut: Greenwood Publishing Group. pp. 122. ISBN 0-313-31807-7.
- Osol, A.; J.E. Hoover, et al. (1975). «DIETHYLPROPION: Manufacturing/Use Information». Remington's Pharmaceutical Sciences.: 810. Consultado el 5 de enero de 2013.
- [Gupta AK, Greenway FL. Safety of obesity drugs. En: Bagchi D, Preuss HG. Editores. Obesity Epidemiology, Pathophysiology and Prevention. Boca Raton, FL: CRC Press; 2007. p. 199-216.]
- Bolding, O.T. (1974). «Diethylpropion Hydrochloride: An Effective Appetite Suppressant.». Current Therapeutic Research: Clinical and Experimental (16): 40-48.
- Adan, R.A.; Vanderschuren LJ, la Fleur SE (Mar de 2008). «Anti-obesity drugs and neural circuits of feeding». Trends Pharmacol Sci. 29 (4): 208.
- Watson Laboratories, Inc (Mar de 2007). «Diethylpropion HCl immediate-release and controlled-release tablets prescribing information». Data on File.
- Miller, Richard Lawrence (2002). The Encyclopedia of Addictive Drugs. Westport, Connecticut: Greenwood Publishing Group. pp. 122-123. ISBN 0-313-31807-7.
- Carney, M.W.P.; M. Harris (1979). «Psychiatric Disorder and Diethylpropion Hydrochloride.». Practitioner (223): 549.
- Carney, M.W. (Apr de 1988). «Diethylpropion and psychosis.». Clin Neuropharmacol. 11 (2): 183.
- McEvoy, G.K. (2005). «American Hospital Formulary Service. Drug Information 2005». American Society of Health-System Pharmacists: 2370.
- Silverman, M.; Ronald O. (1971). «The Use of an Appetite Suppressant (Diethylpropion Hydrochloride) during Pregnancy.». Current Therapeutic Research: Clinical and Experimental (13): 648-653.
- Arias, H. R.; Santamaria A; Ali SF (2009). «Pharmacological and neurotoxicological actions mediated by bupropion and diethylpropion.». Int Rev Neurobiol (88): 223.
- «EMA confirms recommendation to withdraw marketing authorisations for amfepramone medicines» (en inglés). Consultado el 29 de octubre de 2022.
-Amfepramone-Structural_Formulae_V1.svg.png.webp)