Desoxiadenosina trifosfato

La desoxiadenosina trifosfato (o trifosfato de desoxiadenosina, abreviadamente dATP del inglés «deoxyadenosine triphosphate») es un desoxirribonucleótido. Concretamente, es el nucleótido precursor utilizado en la célula para incorporar la base nitrogenada adenina al ADN durante el proceso de replicación de éste.

2'-desoxiadenosina trifosfato
Nombre IUPAC
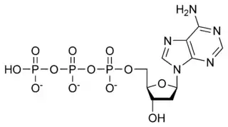
[[(2R,3S,5R)-5-(6-aminopurin-9-il)-3-hidroxioxolan-2-il]metoxi-hidroxifosforil] fosfono hydrógeno fosfate
General
Otros nombres dATP, 2'-desoxiadenosina trifosfato, trifosfato de desoxiadenosina
Fórmula estructural Imagen de la estructura
Fórmula molecular C10H16N5O12P3
Identificadores
Número CAS 1927-31-7[1]
ChEBI 16284
ChEMBL CHEMBL335538
ChemSpider 15194
DrugBank 03222
PubChem 15993
UNII K8KCC8SH6N
KEGG C00131
Propiedades físicas
Masa molar 491,181623 g/mol
Valores en el SI y en condiciones estándar
(25 y 1 atm), salvo que se indique lo contrario.

Referencias

Este artículo ha sido escrito por Wikipedia. El texto está disponible bajo la licencia Creative Commons - Atribución - CompartirIgual. Pueden aplicarse cláusulas adicionales a los archivos multimedia.