Cutamesina
La cutamesina (abreviado SA 4503) es un agonista del receptor sigma sintético que es selectivo para el receptor σ1,[2] una proteína chaperona que se encuentra principalmente en el retículo endoplásmico de las células del sistema nervioso central.[3][4][5][6] Estos receptores σ 1 juegan un papel clave en la modulación de la liberación de Ca2+ así como en el proceso de apoptosis.[5] La activación de la cutamesina sobre el receptor σ 1 está ligada a una variedad de fenómenos fisiológicos en el SNC, incluida la activación de las neuronas liberadoras de dopamina y la represión de la vía MAPK/ERK.[7][8]
| Cutamesina | ||
|---|---|---|
| General | ||
| Fórmula estructural |
| |
| Fórmula molecular | ? | |
| Identificadores | ||
| Número CAS | 165377-43-5[1] | |
| DrugBank | 06618 | |
| PubChem | 9907323 | |
| UNII | 9J7A4144BX | |
| Propiedades físicas | ||
| Masa molar | 368,5132 g/mol | |
Estructura
La fórmula molecular de la cutamesina es C23 H32 N2 O2.[4] Este agonista en particular es una piperazina, en otras palabras, su grupo funcional central es un heterociclo de seis miembros con dos átomos de nitrógeno en posiciones opuestas. Dos grupos fenalquilo actúan como sustituyentes de los dos átomos de nitrógeno. El grupo fenetilo tiene grupos metoxilo en las posiciones 3 y 4 del anillo aromático, mientras que el grupo fenpropilo no tiene grupos funcionales adicionales unidos.

Afinidad
Causas de la afinidad
Los grupos 3,4-metoxi ubicados en el grupo fenetilo juegan un papel importante en la afinidad de unión de los ligandos al receptor σ. Las alteraciones encontradas en estos grupos químicos conducen a cambios en la afinidad por σ1.[9] Los grupos laterales de reemplazo que poseen el volumen más estérico tienen la afinidad de unión más baja por el receptor σ1.[9] Los átomos de nitrógeno en la molécula juegan un papel central en su afinidad, ya que la eliminación de estos átomos de nitrógeno da como resultado una falta de afinidad por el receptor σ1.[10] En la localización de la cadena del receptor, el N(b), el nitrógeno de la piperazina unido al sustituyente más largo, desempeña un papel mucho más importante en la afinidad de unión que el N(a).[10] Los receptores sigma se definen por la presencia de un sitio de unión a amina y tres sitios de unión hidrofóbicos cercanos en la región de unión al ligando.[6] Por lo tanto, el átomo de N(b) en el anillo de piperazina central sirve para interactuar con el sitio de unión de la amina y los dos grupos fenetilo sirven para llenar dos de los tres bolsillos hidrofóbicos.[5]
Tendencias de enlaces
La cutamesina exhibe una alta afinidad de unión por el receptor σ1, con una afinidad 100 veces más reducida por el receptor σ2.[2][11] Actúa como un inhibidor competitivo de la (+)-[3H]pentazocina (IC50=17,4 ± 1,9 nM).[11][2] El haloperidol y el compuesto NE-100 antagonizan la facilitación colinérgica (acetilcolina) inducida por cutamesina.[11] Es probable que la cutamesina no interactúe directamente con los receptores colinérgicos, ya que su afinidad de unión por ellos es casi inexistente.[12] También puede unirse a la proteína de unión a emopamilo vertebral (EBP).[13] Aunque el EBP existe en el cerebro con una densidad más baja que los receptores σ1, la cutamesina muestra una mayor afinidad por el haloperidol.[13]
Efectos fisiológicos
Memoria y Amnesia
Se han publicado evidencias que la cutamesina tiene propiedades antiamnésicas y podría usarse para reducir los efectos de la amnesia causada por la privación del sueño REM.[14] Las disminuciones en la función de la memoria en ratas experimentales causadas por la presencia de escopolamina se mitigan con la introducción de la SA 4503.[15] La activación de la vía MAPK/ERK (proteína quinasa activada por mitógeno/quinasa regulada por señal extracelular) en las neuronas es reprimida por la SA 4503, lo que a su vez conduce a una reducción de la muerte celular relacionada con el estrés.[8] La presencia de la cutamesina tiene un impacto positivo en el número de neuronas dopaminérgicas activas en la corteza frontal, asociado con una mejor función de la memoria.[7]

Depresión
Los receptores σ1 son de interés para investigadores que estudian la neurología de la depresión, ya que ciertos antidepresivos (AD) muestran una alta afinidad por estos receptores y los agonistas de los receptores σ1 como la SA 4503 han mostrado una actividad similar a la de los AD en ensayos no humanos.[16] La función de los sistemas dopaminérgicos se ha relacionado con la eficacia de los antidepresivos, y muchos experimentos con cutamesina han girado en torno a su conexión con la dopamina.[3] La presencia de SA 4503 se ha relacionado con aumentos en la concentración de dopamina y ácido dihidroxifenilacético (un metabolito de la dopamina) en la corteza frontal.[3] La cutamesina puede ayudar con la liberación de dopamina de las neuronas presinápticas en la corteza frontal.[3] En el caso de roedores experimentales, hubo una correlación negativa entre los niveles de SA 4503 y el tiempo de inmovilidad durante una prueba de natación forzada .[3]
Corazón
Se ha demostrado que la administración de cutamesina mitiga los efectos de la hipertrofia cardíaca.[17] La hipertrofia inducida por angiotensión II da como resultado una menor producción de ATP y un tamaño mitocondrial más pequeño en los cardiomiocitos. La presencia de SA 4503 retorna tanto la producción de ATP como el tamaño mitocondrial a la línea de base.[17]
Audición
La presencia de cutamesina se correlaciona positivamente con la presencia del factor neurotrófico derivado del cerebro en el hipocampo (BDNF).[18] Debido a la relación entre la presencia de BDNF y el factor neurotrófico ciliar y la preservación de los nervios auditivos, se piensa que la cutamesina puede tener un efecto positivo sobre la salud de la cóclea.[18] A pesar de los aparentes beneficios auditivos del tratamiento con cutamesina, no previene la pérdida auditiva resultado del envejecimiento.[18]
Síntesis
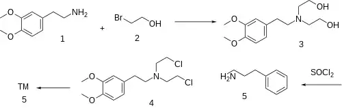
La reacción entre DMPEA (homoveratrilamina) (ilustrado en la figura como 1) y 2-bromoetanol [540-51-2] (véase 2 en la imagen) produce N,N-bis(2-hidroxietil)-2-(3,4-dimetoxifenil)etilamina, CID:15008971 (némero 3). La halogenación con cloruro de tionilo da N,N-bis(2-cloroetil)-2-(3,4-dimetoxifenil)etanamina, CID:15008972 (4). La reacción de este con 3-fenilpropilamina [2038-57-5] (5) completa la síntesis química de cutamesina (5).
Referencias
- Número CAS
- «Sigma Receptor - GPCR/G protein - Signaling Pathways». www.glpbio.com. Consultado el 10 de mayo de 2023.
- Skuza, Grazyna (November 2003). «Potential antidepressant activity of sigma ligands». Polish Journal of Pharmacology 55 (6): 923-934. ISSN 1230-6002. PMID 14730086.
- «cutamesine | C23H32N2O2 | ChemSpider». www.chemspider.com. Consultado el 12 de junio de 2019.
- Hayashi, Teruo; Su, Tsung-Ping (November 2007). «Sigma-1 Receptor Chaperones at the ER- Mitochondrion Interface Regulate Ca2+ Signaling and Cell Survival». Cell 131 (3): 596-610. PMID 17981125. doi:10.1016/j.cell.2007.08.036.
- Weissman, A. D.; Su, T. P.; Hedreen, J. C.; London, E. D. (October 1988). «Sigma receptors in post-mortem human brains». The Journal of Pharmacology and Experimental Therapeutics 247 (1): 29-33. ISSN 0022-3565. PMID 2845055.
- Skuza, G.; Wedzony, K. (November 2004). «Behavioral Pharmacology of σ-Ligands». Pharmacopsychiatry 37 (S 3): 183-188. ISSN 0176-3679. PMID 15547784. doi:10.1055/s-2004-832676.
- Tuerxun, Tuerhong; Numakawa, Tadahiro; Adachi, Naoki; Kumamaru, Emi; Kitazawa, Hiromi; Kudo, Motoshige; Kunugi, Hiroshi (January 2010). «SA4503, a sigma-1 receptor agonist, prevents cultured cortical neurons from oxidative stress-induced cell death via suppression of MAPK pathway activation and glutamate receptor expression». Neuroscience Letters 469 (3): 303-308. PMID 20025928. doi:10.1016/j.neulet.2009.12.013.
- Xu, Rong; Lord, Sarah A.; Peterson, Ryan M.; Fergason-Cantrell, Emily A.; Lever, John R.; Lever, Susan Z. (January 2015). «Ether modifications to 1-[2-(3,4-dimethoxyphenyl)ethyl]-4-(3-phenylpropyl)piperazine (SA4503): Effects on binding affinity and selectivity for sigma receptors and monoamine transporters». Bioorganic & Medicinal Chemistry 23 (1): 222-230. PMC 4274187. PMID 25468036. doi:10.1016/j.bmc.2014.11.007.
- Ablordeppey, Seth Y; Fischer, James B; Glennon, Richard A (August 2000). «Is a Nitrogen Atom an Important Pharmacophoric Element in Sigma Ligand Binding?». Bioorganic & Medicinal Chemistry 8 (8): 2105-2111. PMID 11003156. doi:10.1016/S0968-0896(00)00148-6.
- Matsuno, Kiyoshi; Nakazawa, Minako; Okamoto, Kazuyoshi; Kawashima, Yoichi; Mita, Shiro (June 1996). «Binding properties of SA4503, a novel and selective σ1 receptor agonist». European Journal of Pharmacology 306 (1–3): 271-279. PMID 8813641. doi:10.1016/0014-2999(96)00201-4.
- Horan, Bryan; Gifford, Andrew N.; Matsuno, Kiyoshi; Mita, Shiro; Ashby, Charles R. (October 2002). «Effect of SA4503 on the electrically evoked release of3H-acetylcholine from striatal and hippocampal rat brain slices». Synapse 46 (1): 1-3. ISSN 0887-4476. PMID 12211092. doi:10.1002/syn.10107.
- Toyohara, Jun; Sakata, Muneyuki; Ishiwata, Kiichi (October 2012). «Re-evaluation of in vivo selectivity of [11C]SA4503 to σ1 receptors in the brain: Contributions of emopamil binding protein». Nuclear Medicine and Biology 39 (7): 1049-1052. PMID 22497960. doi:10.1016/j.nucmedbio.2012.03.002.
- Ramakrishnan, Nisha K.; Schepers, Marianne; Luurtsema, Gert; Nyakas, Csaba J.; Elsinga, Philip H.; Ishiwata, Kiichi; Dierckx, Rudi A. J. O.; van Waarde, Aren (June 2015). «Cutamesine Overcomes REM Sleep Deprivation-Induced Memory Loss: Relationship to Sigma-1 Receptor Occupancy». Molecular Imaging and Biology 17 (3): 364-372. ISSN 1536-1632. PMID 25449772. doi:10.1007/s11307-014-0808-2.
- Matsuno, Kiyoshi; Senda, Toshihiko; Kobayashi, Tetsuya; Okamoto, Kazuyoshi; Nakata, Katsuhiko; Mita, Shiro (February 1997). «SA4503, a novel cognitive enhancer, with σ1 receptor agonistic properties». Behavioural Brain Research 83 (1–2): 221-224. PMID 9062689. doi:10.1016/S0166-4328(97)86074-3.
- Rogóż, Zofia; Skuza, Grażyna; Maj, Jerzy; Danysz, Wojciech (June 2002). «Synergistic effect of uncompetitive NMDA receptor antagonists and antidepressant drugs in the forced swimming test in rats». Neuropharmacology 42 (8): 1024-1030. PMID 12128003. doi:10.1016/S0028-3908(02)00055-2.
- Hirano, Kohga; Tagashira, Hideaki; Fukunaga, Kohji (2014). «Cardioprotective Effect of the Selective Sigma-1 Receptor Agonist, SA4503». Yakugaku Zasshi 134 (6): 707-713. ISSN 0031-6903. PMID 24882645. doi:10.1248/yakushi.13-00255-3.
- Yamashita, Daisuke; Sun, Guang-wei; Cui, Yong; Mita, Shiro; Otsuki, Naoki; Kanzaki, Sho; Nibu, Ken-ichi; Ogawa, Kaoru et al. (May 2015). «Neuroprotective effects of cutamesine, a ligand of the sigma-1 receptor chaperone, against noise-induced hearing loss: Cutamesine Protects Against Hearing Loss». Journal of Neuroscience Research 93 (5): 788-795. PMID 25612541. doi:10.1002/jnr.23543.
- Fujimura, Ken-ichi; Matsumoto, Junzo; Niwa, Masashi; Kobayashi, Tadayuki; Kawashima, Yoichi; In, Yasuko; Ishida, Toshimasa (1997). "Synthesis, structure and quantitative structure-activity relationships of σ receptor ligands, 1-[2-(3,4-dimethoxyphenyl)ethyl]-4-(3-phenylpropyl)piperazines". Bioorganic & Medicinal Chemistry. 5 (8): 1675–1683. doi:10.1016/S0968-0896(97)00093-X.
- Li, Yan; Wang, Xia; Zhang, Jinming; Deuther-Conrad, Winnie; Xie, Fang; Zhang, Xiaojun; Liu, Jian; Qiao, Jinping; Cui, Mengchao; Steinbach, Jörg; Brust, Peter; Liu, Boli; Jia, Hongmei (2013). "Synthesis and Evaluation of Novel18F-Labeled Spirocyclic Piperidine Derivatives as σ1Receptor Ligands for Positron Emission Tomography Imaging". Journal of Medicinal Chemistry. 56 (9): 3478–3491. doi:10.1021/jm301734g.
- Yoichi Kawashima, Patente USPTO n.º 5736546 (1998 to M's Science Corp).
