Conofilidina

La conofilidina es un alcaloide derivado indoloiridoide aislado de la planta Tabernaemontana divaricata (Apocynaceae). Es un inhibidor de las enzimas farnesil transferasa. LD50 (murino, intraperitoneal) 32.3 mg/kg. [2]

Conofilidina
General
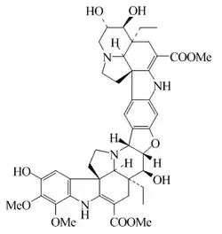
Fórmula estructural Imagen de la estructura
Fórmula molecular C44H50N4O9
Identificadores
Número CAS 152406-44-5[1]
Propiedades físicas
Apariencia Polvo amorfo
Masa molar 778,9 g/mol
Valores en el SI y en condiciones estándar
(25 y 1 atm), salvo que se indique lo contrario.
Tabernaemontana divaricata

Derivados

 Nombre    Estructura    Fórmula molecular    CAS   Masa molecular (g/mol)   Estado   Fuente natural    Otras propiedades  
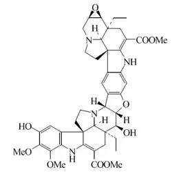
Conofilina (14′β,15′β-Epoxicocofilidina)
C44H50N4O10 142741-24-0 794.900 Prismas color amarillo brillante (AcOEt) PF = 181 - 184 °C Aislado de las hojas de Tabernaemontana divaricata y de hojas de Tabernaemontana glandulosa (Apocynaceae). También se ha aislado, referido como Poliervina de las hojas de Ervatamia polyneura.[3] [α]D = -133 (c, 0.7 en cloroformo). UV: [neutro]λmax204 (log ε3.43) ;239 (log ε3.23) ;311 (log ε3.25) ;334 (log ε3.31) ( EtOH)
Conofilinina (14′,15′-Dihidro-14′α,15′β-dihidroxiconofilinina)
C44H52N4O11 812.915 Aceite color amarillo Aislado de las hojas de Tabernaemontana divaricata[4] [α]D = -109 (c, 0.09 en cloroformo). UV: [neutro]λmax204 (log ε3.43) ;239 (log ε3.23) ;311 (log ε3.25) ;334 (log ε3.31) (EtOH)
Meloidina K (11,12-Bis(desmetoxi)-10-desoxiconofilidina)
C42H46N4O6 1228757-24-1 702.849 Polvo Aislado de Melodinus tenuicaudatus[5] [α]20D = -129.6 (c, 0.24 en cloroformo). UV: [neutro]λmax242 (log ε4.79) ;330 (log ε4.99) ( cloroformo)

La síntesis total fue realizada por Han-ya[6]

Referencias

  1. Número CAS
  2. Kam, T.-S. et al., J. Nat. Prod., 1993, 56, 1865- 1871
  3. Achenbach, H. et al., Phytochemistry, 1994, 37, 1737- 1743
  4. Kam, T.S. et al., Org. Biomol. Chem., 2003, 1, 1292- 1297
  5. Feng, T. et al., J. Nat. Prod., 2010, 73, 1075- 1079
  6. Han-ya, Y. et al., Angew. Chem., Int. Ed., 2011, 50, 4884- 4887
Este artículo ha sido escrito por Wikipedia. El texto está disponible bajo la licencia Creative Commons - Atribución - CompartirIgual. Pueden aplicarse cláusulas adicionales a los archivos multimedia.