Compuerta lógica molecular
Una compuerta lógica molecular es, en nanotecnología, una compuerta lógica a un nivel molecular. Actualmente se está dedicando mucha atención a la investigación para el desarrollo de este tipo de sistemas, y existen varios prototipos. Se los ha apodado moleculadoras debido a su utilidad potencial en operaciones aritméticas simples.
Las compuertas lógicas moleculares funcionan a través de señales de entrada basadas en procesos químicos, mientras que la señal de salida es de tipo espectroscópico. Uno de los primeros sistemas, basado en soluciones acuosas, aprovechaba el comportamiento de los compuestos A y B en el esquema 1[1]
El compuesto A es una olefina bipolarizada cuyo receptor superior contiene cuatro grupos carboxilo desprotonados, capaces de unirse a átomos de calcio. El resto de la moléculas es una quinoleína, que es un receptor de protones. La compuerta lógica procede de la siguiente manera.
Sin ningún tipo de señal química de Ca2+ o de H+, el cromóforo muestra un máximo de absorbancia en Espectroscopía UV/Visible a 390 nm. Cuando se añade calcio se produce un viraje al azul, y disminuye la absorbancia a 390 nm. De la misma forma, al añadir protones causa un viraje al rojo, y cuando se añaden ambos cationes el resultado neto es que el máximo se mantiene en 390 nm. Este sistema representa una compuerta lógica XNOR cuando el resultado se lee la absorción, y una compuerta XOR cuando se lee en transmitancia.
En el compuesto B, la parte inferior de la molécula contiene un grupo amino terciario, el cual también es capaz de unirse a protones. En este sistema, sólo cuando ambos cationes están presentes, se produce fluorescencia, con lo cual se forma una compuerta lógica de tipo AND.
Teniendo ambos sistemas funcionando en paralelo, y monitoreando la transmitancia para el sistema A y la fluorescencia para el sistema B, el resultado es un adicionador capaz de reproducir la ecuación 1+1=2.
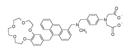
En una variación del sistema B, se utilizan tres señales químicas simultáneamente en una compuerta lógica AND.[2] Se obtiene una señal aumentada de fluorescencia del compuesto abajo representado sólo en presencia simultánea de protones, iones de cinc y de sodio, por su interacción con los grupos amina, carboxilo y éter corona, con lo cual este tipo de sistema se podría llegar a utilizar como detector de enfermedades, dado que estos tres cationes son importantes fisiológicamente.

En otro sistema de compuerta lógica XOR la reacción química se basa en el pseudorotaxano,[3] explicado en el esquema 3. En un medio orgánico, la sal de diazopirenio deficiente en electrones (la vara) y los grupos ricos en electrones de 2,3-dioxinaftaleno del éter corona (el anillo) se autoensamblan a través de la formación de un complejo de transferencia de carga.
La adición de una amina terciaria tal como tributilamina forma un aducto 1:2 con el diazopireno y desune al complejo. Este proceso es acompañado por un aumento en la intensidad de emisión a 343 nm, resultado de la liberación de los éteres corona. Al agregarse ácido trifluorofmetanosulfónico, éste reacciona con la amina y se revierte el proceso. El exceso de ácido cierra el anillo del éter corona por protonación y una vez más se desune el complejo.
Un sistema de sumador completo, basado en fluoresceína,[4] es capaz de realizar la operación 1 + 1 + 1 = 3.
Referencias
- Prasanna de Silva, A. y McClenaghan, Nathan (2000). «Proof-of-Principle of Molecular-Scale Arithmetic». Journal of the American Chemical Society (en inglés) (Washington DC, Estados Unidos: American Chemical Society) 122 (16): 3965-3966. ISSN 0002-7863. OCLC 01226990. doi:10.1021/ja994080m.
- Magri, David; Brown, Gareth; McClean, Gareth y Prasanna de Silva, A. (2006). «Communicating Chemical Congregation: A Molecular AND Logic Gate with Three Chemical Inputs as a "Lab-on-a-Molecule" Prototype». Journal of the American Chemical Society (en inglés) (Washington DC, Estados Unidos: American Chemical Society) 128 (15): 4950-4951. ISSN 0002-7863. OCLC 01226990. doi:10.1021/ja058295+.
- Credi, Alberto; Balzani, Vincenzo; Langford, Steven y Fraser Stoddart, J. (1997). «Logic Operations at the Molecular Level. An XOR Gate Based on a Molecular Machine». Journal of the American Chemical Society (en inglés) (Washington DC, Estados Unidos: American Chemical Society) 119 (11): 2679-2681. ISSN 0002-7863. OCLC 01226990. doi:10.1021/ja963572l.
- Margulies, David; Melman, Galina y Shanzer, Abraham (2006). «A Molecular Full-Adder and Full-Subtractor, an Additional Step toward a Moleculator». Journal of the American Chemical Society (en inglés) (Washington DC, Estados Unidos: American Chemical Society) 128 (14): 4865-4871. ISSN 0002-7863. OCLC 01226990. doi:10.1021/ja058564w.