Carotenoide
Los carotenoides son pigmentos orgánicos del grupo de los isoprenoides que se encuentran de forma natural en plantas y otros organismos fotosintéticos como algas, algunas clases de hongos y bacterias. Se conoce la existencia de más de setecientos compuestos pertenecientes a este grupo.[1]

De acuerdo con su estructura química los carotenoides pueden clasificarse en carotenos y xantófilas. Los carotenos son carotenoides no oxigenados y las xantófilas son derivados oxigenados de los carotenos. Algunos carotenoides son precursores de la vitamina A por lo que también se los clasifica en «carotenoides provitamina A» y «carotenoides no provitamina A». El carotenoide provitamina A más abundante en la dieta humana es el β-caroteno.[1]
Los carotenoides son el grupo más representativo de los tetraterpenos, compuestos que se caracterizan por una estructura con cuarenta átomos de carbono, aunque no todos los carotenoides se ajustan estrictamente a esta regla. Estos átomos de carbono se encuentran ordenados formando cadenas poliénicas conjugadas en ocasiones terminadas en anillos de carbono. A los carotenoides que contienen átomos de oxígeno se les conoce más específicamente como xantofilas. Los restantes constituyen el grupo de los llamados carotenos.
Su color, que varía desde amarillo pálido, pasando por anaranjado, hasta rojo oscuro, se encuentra directamente relacionado con su estructura: los enlaces dobles carbono-carbono interactúan entre sí en un proceso llamado conjugación. Mientras el número de enlaces dobles conjugados aumenta, la longitud de onda de la luz absorbida también lo hace, dando al compuesto una apariencia más rojiza. Por ejemplo, el fitoeno que posee únicamente tres enlaces dobles conjugados absorbe luz en el rango ultravioleta y apareciendo por tanto incoloro a la vista, el licopeno, compuesto que confiere su color rojo al tomate contiene 11 enlaces dobles conjugados. Existen también carotenoides de color verde (-Caroteno), amarillo (-caroteno), y anaranjado (neurosporaxantina).
En organismos fotosintéticos los carotenoides desempeñan un papel vital en los centros de reacción, ya sea participando en el proceso de transferencia de energía, o protegiendo el centro de reacción contra la autooxidación. En los organismos no fotosintéticos, los carotenoides han sido vinculados a los mecanismos de prevención de la oxidación.
Los animales son incapaces de sintetizar carotenoides y deben obtenerlos a través de su dieta, siendo estos compuestos importantes por su función biológica como pro-vitamina A.
Como ejemplo de estos compuestos en la naturaleza, podemos citar al carotenoide más conocido, el que da al grupo su nombre, el caroteno, encontrado en zanahorias y responsable de su color anaranjado brillante. El color rosado del flamenco y el del salmón, y la coloración roja de las langostas, también son producidos por carotenoides.
Entre las aplicaciones más importantes de los carotenoides podemos mencionar su uso como pigmentos naturales, así como su papel como complemento alimenticio.
Nomenclatura
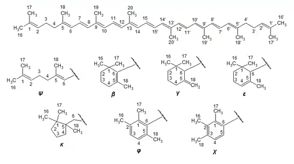
La estructura patrón de cuarenta carbonos se denomina «caroteno». La numeración se toma en cuenta como un dímero, por lo que la mitad izquierda se numera comenzando por el carbono que se enlaza a dos metilos y se prosigue de manera lineal hasta el carbono 15 (El extremo opuesto del primer monómero); se prosigue a numerar los metilos de izquierda a derecha hasta el número 20. La mitad derecha se numera de manera homóloga de derecha a izquierda con numeración primada. Dependiendo la estructura de cada uno de los extremos, se nombra el tipo de extremo de la izquierda con las letras griegas de acuerdo a la convención de la IUPAC. Posteriormente se hace lo mismo con la mitad derecha.[2]

Por ejemplo, el siguiente compuesto se denomina ψ,ψ caroteno:

Mientras que este compuesto es el (3'E)-3',4'-didehidro-β,ψ-caroteno:

Lista de carotenoides naturales
- Hidrocarburos
- Licopeno
- Fitoflueno
- Hexahidrolicopeno
- Toruleno
- α-Zeacaroteno
- Alcoholes
- Aloxantina
- Cintiaxantina
- Pectenoxantina
- Criptomonaxantina
- Crustaxantina
- Gazaniaxantina
- Hidroxiclorobacteno
- Loroxantina
- Licoxantina
- Rodopina
- Rodopinol o Warmingol
- Saproxantina
- Zeaxantina
- Glucósidos
- Oscilaxantina
- Fleixantofila
- Éteres
- Rodovibrina
- Esferoideno
- Epóxidos
- Diadinoxantina
- Luteoxantina
- Mutatoxantina
- Citroxantina
- Neocromo
- Foliacromo
- Trollicromo
- Vauqueriaxantina
- Aldehídos
- Rodopinal
- Wamingona
- Torularrodinaldehído
- Ácidos
- Torularrodina
- Cetonas
- Astaxantina
- Cantaxantina
- Capsantina
- Capsorrubina
- Criptocapsina
- 2,2'-Dicetoespiriloxantina
- Flexixantina
- Adonirubina o Fenicoxantina
- Hidroxieferiodenona
- Okenona
- Pectenolona
- Feniconona
- Fenicopterona
- Rubixantona
- Sifonaxantina
- Ésteres
- Astaceína
- Fucoxantina
- Isofucoxantina
- Fisalieno
- Dipalmitato de zeaxantina
- Sifoneína
- Apo Carotenoides
- Nor y Seco Carotenoides
- Actinioeritrina
- β-Carotenona
- Peridinina
- Pirroxantininol
- Semi-β-carotenona
- Trifasiaxantina
- Retro carotenoides y retro apo Carotenoides
- Eschscholtzxantina
- Eschscholtzxantona
- Rodoxantina
- Tangeraxantina
- Carotenoides Superiores
- Nonaprenoxantina
- Decaprenoxantina
- Bacterioruberina[3]
Estructura y función
La estructura de los carotenoides permite desarrollar capacidades biológicas, como la fotosíntesis, la fotoprotección, la coloración de las plantas y la señalización celular.
La estructura general del carotenoide es una cadena de polieno que consta de 9-11 dobles enlaces y que posiblemente termine en anillos. Esta estructura de doble enlace conjugado conduce a un alto potencial reductor, o la capacidad de transferir electrones a través de la molécula.[4] Los carotenoides pueden transferir la energía de excitación de dos maneras: 1) transferencia de energía singlete-singlet del carotenoide a la clorofila, y 2) transferencia de energía triplete de la clorofila al carotenoide. La transferencia de energía singlete-singlet es una transferencia de estado energético inferior y se utiliza durante la fotosíntesis.[5] La longitud de la cola del polieno permite la absorción de la luz en el rango fotosintético; una vez que absorbe la energía se excita, luego transfiere los electrones excitados a la clorofila para la fotosíntesis.[4] La transferencia triplete-triplete es un estado de mayor energía y es esencial en la fotoprotección.[5] La luz produce especies dañinas durante la fotosíntesis, siendo las más dañinas las especies reactivas de oxígeno (ROS). A medida que estas ROS de alta energía se producen en la clorofila, la energía se transfiere a la cola de polieno del carotenoide y se somete a una serie de reacciones en las que los electrones se mueven entre los enlaces del carotenoide para encontrar el estado más equilibrado (estado de menor energía) para el carotenoide.[4]
La longitud de los carotenoides también tiene un papel en la coloración de las plantas, ya que la longitud de la cola del polieno determina qué longitudes de onda de la luz absorberá la planta. Las longitudes de onda que no se absorben se reflejan y son lo que vemos como el color de una planta.[4] Por lo tanto, diferentes especies contendrán carotenoides con diferentes longitudes de cola que les permiten absorber y reflejar diferentes colores.[4]
Los carotenoides también participan en diferentes tipos de señalización celular.[5] Son capaces de señalar la producción de ácido abscísico, que regula el crecimiento de las plantas, la latencia de las semillas, la maduración y germinación de los embriones, la división celular y la elongación, el crecimiento floral y las respuestas al estrés.[6]
Propiedades

Los carotenoides pertenecen a la categoría de los tetraterpenoides (es decir, contienen 40 átomos de carbono, al estar construidos a partir de cuatro unidades de terpeno que contienen 10 átomos de carbono cada una). Estructuralmente, los carotenoides adoptan la forma de una cadena de hidrocarburos polieno que a veces está terminada por anillos, y puede tener o no átomos de oxígeno adicionales.
- Los carotenoides con moléculas que contienen oxígeno, como la luteína y la zeaxantina, se conocen como "xantofilas".
- Los carotenoides no oxigenados (sin oxígeno), como el alfa-caroteno, el β-caroteno y el licopeno, se conocen como carotenos. Los carotenos suelen contener sólo carbono e hidrógeno (es decir, son hidrocarburos), y pertenecen a la subclase de hidrocarburos insaturados.
Su color, que va desde el amarillo pálido hasta el rojo intenso, pasando por el naranja brillante, está directamente relacionado con su estructura. Las xantofilas suelen ser amarillas, de ahí el nombre de su clase. Los dobles enlaces carbono-carbono interactúan entre sí en un proceso de conjugación, que permite a los electrones de la molécula moverse libremente por estas zonas de la molécula. A medida que aumenta el número de dobles enlaces conjugados, los electrones asociados a los sistemas conjugados tienen más espacio para moverse y requieren menos energía para cambiar de estado. Esto hace que el rango de energías de la luz absorbida por la molécula disminuya. A medida que se absorben más longitudes de onda de luz del extremo más largo del espectro visible, los compuestos adquieren un aspecto cada vez más rojo.
Los carotenoides suelen ser lipofílicos debido a la presencia de largos insaturados alifáticos como en algunos ácidos grasos. La absorción fisiológica de estas vitaminas liposolubles en los seres humanos y otros organismos depende directamente de la presencia de grasas y sales biliaress.[7]
Presencia en alimentos
El betacaroteno, que se encuentra en la calabaza, el boniato, la zanahoria y la calabaza de invierno, es el responsable de sus colores amarillo-anaranjados.[7] Las zanahorias secas tienen la mayor cantidad de caroteno de todos los alimentos por ración de 100 gramos, medida en equivalentes de actividad de retinol (equivalentes de provitamina A).[8] La fruta gac vietnamita contiene la mayor concentración conocida del carotenoide licopeno.[9] Aunque son verdes, la col rizada, las espinacas, la berza y la hoja de nabo contienen cantidades sustanciales de betacaroteno.[7] La dieta de los flamencos es rica en carotenoides, lo que les confiere el color anaranjado de sus plumas.[10]
Coloración de las plantas

.

Los carotenoides más comunes son el licopeno y el precursor de la vitamina A, el β-caroteno. En las plantas, la xantofila luteína es el carotenoide más abundante y actualmente se está investigando su papel en la prevención de las enfermedades oculares relacionadas con la edad.[11] La luteína y los demás pigmentos carotenoides que se encuentran en las hojas maduras no suelen ser evidentes debido a la presencia enmascaradora de la clorofila. Cuando la clorofila no está presente, como en el follaje de otoño, los amarillos y naranjas de los carotenoides son predominantes. Por la misma razón, los colores de los carotenoides suelen predominar en los frutos maduros tras ser desenmascarados por la desaparición de la clorofila.
Los carotenoides son los responsables de los amarillos y naranjas brillantes que tiñen el follaje caducifolio (como el color de las hojas de otoño) de ciertas especies de madera dura como el nogal americano, el ceniza, el álamo temblón, el abedul, el cerezo negro, el sicomoro, el algodón, sasafrás y aliso. Los carotenoides son el pigmento dominante en la coloración otoñal de las hojas de aproximadamente el 15-30% de las especies de árboles.[12] Sin embargo, los rojos, los púrpuras y sus combinaciones mezcladas que decoran el follaje otoñal suelen proceder de otro grupo de pigmentos de las células llamados antocianinas. A diferencia de los carotenoides, estos pigmentos no están presentes en la hoja durante toda la temporada de crecimiento, sino que se producen activamente hacia el final del verano.[13]
Coloración de las aves y selección sexual
Los carotenoides de la dieta y sus derivados metabólicos son los responsables de la coloración amarilla brillante a roja en las aves.[14] Los estudios estiman que alrededor de 2956 especies de aves modernas presentan coloración carotenoide y que la capacidad de italizar estos pigmentos para la coloración externa ha evolucionado independientemente muchas veces a lo largo de la historia evolutiva de las aves.[15] La coloración de los carotenoides presenta altos niveles de dimorfismo sexual, lo que significa que las aves macho tienden a mostrar una coloración más vibrante que las hembras de la misma especie.[16]
Estas diferencias surgen debido a la selección de la coloración amarilla y roja en los machos por preferencia de las hembras.[17][16] En muchas especies de aves, las hembras invierten más tiempo y recursos en la crianza de las crías que sus compañeros masculinos. Por lo tanto, es imperativo que las hembras seleccionen cuidadosamente a sus compañeros de alta calidad. La literatura actual apoya la teoría de que la coloración vibrante de los carotenoides está correlacionada con la calidad del macho, ya sea a través de los efectos directos sobre la función inmune y el estrés oxidativo,[18][19][20] o a través de una conexión entre las vías de metabolización de los carotenoides y las vías de respiración celular.[21][22]
Productos aromáticos, aromatizantes y saborizantes
Los productos de la degradación de los carotenoides, como la iononas, las damasconas y la damascenonas, son también importantes sustancias químicas aromáticas que se utilizan ampliamente en la industria de los perfumess y las fragancias. Tanto la β-damascenona como la β-ionona, aunque de baja concentración en los destilados de rosa, son los compuestos clave que contribuyen al olor de las flores. De hecho, los dulces olores florales presentes en el té negro, el tabaco envejecido, la uva y muchas frutas se deben a los compuestos aromáticos resultantes de la descomposición de los carotenoides.
Enfermedades
Algunos carotenoides son producidos por las bacterias para protegerse del ataque inmunológico oxidativo. El pigmento aureus (dorado) que da nombre a algunas cepas de Staphylococcus aureus es un carotenoide llamado estafiloxantina. Este carotenoide es un factor de virulencia con una acción antioxidante que ayuda al microbio a eludir la muerte por especies reactivas de oxígeno utilizadas por el sistema inmunitario del huésped.[23]
Véase también
Referencias
- Shete, Varsha; Quadro, Loredana (diciembre de 2013). «Mammalian Metabolism of β-Carotene: Gaps in Knowledge» [Metabolismo de los mamíferos del β-Caroteno: brechas en el conocimiento]. Nutrients (en inglés) 5 (12): 4849-4868. PMID 24288025. doi:10.3390/nu5124849. Consultado el 18 de agosto de 2016.
- http://www.chem.qmul.ac.uk/iupac/carot/car1t7.html
- IARC handbooks of cancer prevention (1998). Carotenoids: Vol. 2. IARC Scientific Publications. ISBN 9789283230021.
- Vershinin, Alexander (1 de enero de 1999). «Biological functions of carotenoids - diversity and evolution (Funciones biológicas de los carotenoides - diversidad y evolución)». BioFactors (en inglés) 10 (2-3): 99-104. ISSN 1872-8081. PMID 10609869. S2CID 24408277. doi:10.1002/biof.5520100203.
- Cogdell, R. J. (30 de noviembre de 1978). «Carotenoids in photosynthesis (Los carotenoides en la fotosíntesis)». Phil. Trans. R. Soc. Lond. B (en inglés) 284 (1002): 569-579. Bibcode:..569C 1978RSPTB.284 ..569C. ISSN 0080-4622. doi:10.1098/rstb.1978.0090.
- Finkelstein, Ruth (1 de noviembre de 2013). «Abscisic Acid Synthesis and Response (Síntesis y respuesta del ácido abscísico)». The Arabidopsis Book / American Society of Plant Biologists (en inglés) 11: e0166. ISSN 1543-8120. PMC 3833200. PMID 24273463. doi:10.1199/tab.0166.
- «Carotenoids» (en inglés). Micronutrient Information Center, Linus Pauling Institute, Oregon State University. 1 de agosto de 2016. Consultado el 17 de abril de 2019.
- «Foods Highest in Retinol Activity Equivalent (Alimentos más altos en equivalentes de actividad de retinol)». nutritiondata.self.com (en inglés). Consultado el 4 de diciembre de 2015.
- Tran, X. T.; Parks, S. E.; Roach, P. D.; Golding, J. B.; Nguyen, M. H. (2015). «Effects of maturity on physicochemical properties of Gac fruit (Momordica cochinchinensis Spreng.) (Efectos de la madurez en las propiedades fisicoquímicas del fruto de Gac (Momordica cochinchinensis Spreng.))». Food Science & Nutrition (en inglés) 4 (2): 305-314. PMC 4779482. PMID 27004120. doi:10.1002/fsn3.291.
- Yim, K. J.; Kwon, J; Cha, I. T.; Oh, K. S.; Song, H. S.; Lee, H. W.; Rhee, J. K.; Song, E. J.; Rho, J. R.; Seo, M. L.; Choi, J. S.; Choi, H. J.; Lee, S. J.; Nam, Y. D.; Roh, S. W. (2015). «Occurrence of viable, red-pigmented haloarchaea in the plumage of captive flamingoes (Presencia de haloarchaea viable y pigmentada de rojo en el plumaje de flamencos en cautividad». Scientific Reports (en inglés) 5: 16425. Bibcode:2015NatSR...516425Y. PMC 4639753. PMID 26553382. doi:10.1038/srep16425.
- Archetti, Marco; Döring, Thomas F.; Hagen, Snorre B.; Hughes, Nicole M.; Piel, Simon R.; Lee, David W.; Lev-Yadun, Simcha; Manetas, Yiannis et al. (2011). «Desentrañando la evolución de los colores del otoño: un enfoque interdisciplinario». Trends in Ecology & Evolution (en inglés) 24 (3): 166-73. PMID 19178979. doi:10.1016/j.tree.2008.10.006.
- Davies, Kevin M., ed. (2004). Plant pigments and their manipulation. Annual Plant Reviews (en inglés) 14. Oxford: Blackwell Publishing. p. 6. ISBN 978-1-4051-1737-1.
- Delhey, Kaspar; Peters, Anne (16 de noviembre de 2016). «The effect of colour‐producing mechanisms on plumage sexual dichromatism in passerines and parrots (El efecto de los mecanismos productores de color en el dicromatismo sexual del plumaje en paseriformes y loros)». Functional Ecology 31 (4): 903-914. ISSN 0269-8463. doi:10.1111/1365-2435.12796.
- Thomas, Daniel B.; McGraw, Kevin J.; Butler, Michael W.; Carrano, Matthew T.; Madden, Odile; James, Helen F. (7 de agosto de 2014). «Ancient origins and multiple appearances of carotenoid-pigmented feathers in birds (Orígenes antiguos y apariciones múltiples de plumas pigmentadas con carotenoides en aves)». Proceedings of the Royal Society B: Biological Sciences (en inglés) 281 (1788): 20140806. ISSN 0962-8452. PMC 4083795. PMID 24966316. doi:10.1098/rspb.2014.0806.
- Cooney, Christopher R.; Varley, Zoë K.; Nouri, Lara O.; Moody, Christopher J. A.; Jardine, Michael D.; Thomas, Gavin H. (16 de abril de 2019). «Sexual selection predicts the rate and direction of colour divergence in a large avian radiation (La selección sexual predice la tasa y la dirección de la divergencia de color en una gran radiación aviar)». Nature Communications (en inglés) 10 (1): 1773. ISSN 2041-1723. PMC 6467902. PMID 30992444. doi:10.1038/s41467-019-09859-7.
- Hill, Geoffrey E. (September 1990). «Female house finches prefer colourful males: sexual selection for a condition-dependent trait (Los pinzones domésticos hembra prefieren los machos coloridos: selección sexual para un rasgo dependiente de la condición)». Animal Behaviour 40 (3): 563-572. ISSN 0003-3472. S2CID 53176725. doi:10.1016/s0003-3472(05)80537-8.
- Weaver, Ryan J.; Santos, Eduardo S. A.; Tucker, Anna M.; Wilson, Alan E.; Hill, Geoffrey E. (8 de enero de 2018). «Carotenoid metabolism strengthens the link between feather coloration and individual quality (El metabolismo de los carotenoides refuerza el vínculo entre la coloración de las plumas y la calidad individual)». Nature Communications (en inglés) 9 (1): 73. ISSN 2041-1723. PMC 5758789. PMID 29311592. doi:10.1038/s41467-017-02649-z.
- Simons, Mirre J. P.; Cohen, Alan A.; Verhulst, Simon (14 de agosto de 2012). «What Does Carotenoid-Dependent Coloration Tell? Plasma Carotenoid Level Signals Immunocompetence and Oxidative Stress State in Birds-A Meta-Analysis». PLOS ONE (en inglés) 7 (8): e43088. ISSN 1932-6203. PMC 3419220. PMID 22905205. doi:10.1371/journal.pone.0043088.
- Koch, Rebecca E.; Hill, Geoffrey E. (14 de mayo de 2018). «¿Los ornamentos basados en carotenoides implican compensaciones de recursos? Una evaluación de la teoría y los datos». Functional Ecology 32 (8): 1908-1920. ISSN 0269-8463. doi:10.1111/1365-2435.13122.
- Hill, Geoffrey E.; Johnson, James D. (Noviembre 2012). «The Vitamin A–Redox Hypothesis: A Biochemical Basis for Honest Signaling via Carotenoid Pigmentation (La hipótesis de la vitamina A-Redox: Una base bioquímica para la señalización honesta a través de la pigmentación de carotenoides)». The American Naturalist 180 (5): E127-E150. ISSN 0003-0147. PMID 23070328. S2CID 2013258. doi:10.1086/667861.
- Powers, Matthew J; Hill, Geoffrey E (3 de mayo de 2021). doi.org/10.1093/icb/icab056 «A Review and Assessment of the Shared-Pathway Hypothesis for the Maintenance of Signal Honesty in Red Ketocarotenoid-Based Coloration (Una revisión y evaluación de la hipótesis de la vía compartida para el mantenimiento de la honestidad de la señal en la coloración roja basada en ketocarotenoides)». Integrative and Comparative Biology 61 (5): 1811-1826. ISSN 1540-7063. PMID 33940618. doi:10.1093/icb/icab056.
- Liu GY, Essex A, Buchanan JT (2005). «El pigmento dorado de Staphylococcus aureus perjudica la muerte de los neutrófilos y promueve la virulencia a través de su actividad antioxidante». J. Exp. Med. 202 (2): 209-15. PMC 2213009. PMID 16009720. doi:10.1084/jem.20050846.
Enlaces externos
Wikimedia Commons alberga una categoría multimedia sobre Carotenoide.
Wikcionario tiene definiciones y otra información sobre carotenoide.
