Carboxipenicilina
Las carboxipenicilinas son un grupo de antibióticos que pertenecen a la familia de las penicilinas antipseudomonas y comprenden la carbenicilina y ticarcilina. Estos medicamentos pueden ser administrada por vía intramuscular o como terapia intravenosa.

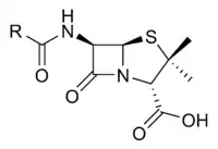
Estructura química
Las carboxipenicilinas tienen un anillo betalactámico característico de todas las penicilinas, pero tienen un ácido carboxílico o un grupo ester como su cadena lateral.
Indicaciones
Las carboxipenicilinas exhiben actividad antibacteriana en contra de las bacterias Gram negativas, incluyendo la Pseudomonas aeruginosa y las especies Proteus.[1] Tienen muy poca actividad en contra de los patógenos Gram positivos como el Staphylococcus aureus, Enterococcus faecalis, y L. monocytogenes. En casos de septicemias causadas por Pseudomonas, estas penicilinas antipseudomónicas suelen ser administradas conjuntamente con un aminoglucósido (por ejemplo, gentamicina o netilmicina), puesto que poseen un efecto sinérgico.[1] Las concentraciones elevadas de una carboxipenicilina, puede inactivar o disminuir la actividad de los aminoglucósidos.[2]
Como las otras penicilinas, las carboxipenicilinas son sensibles a la enzima bacteriana betalactamasa.
Referencias
- Guía de Prescripción Terapéutica; Información de medicamentos autorizados en España. Penicilinas antipseudomónicas Archivado el 7 de marzo de 2007 en Wayback Machine. (en español). Último acceso 23 de septiembre de 2008.
- Oscar Sandóval Morón. Antibioticoterapia neonatal (en español). Rev. Soc. Bol. Ped. - 2000; Vol 39 No.(2). Último acceso 23 de septiembre de 2008.