Base de Bell
La base de Bell, que está formada por los estados de Bell, un concepto de información cuántica, es un conjunto de estados cuánticos específico de dos qubits que representa el ejemplo más simple (y además maximal) del entrelazamiento cuántico. Los estados de Bell son vectores de una base normalizada y entrelazada. Esta normalización implica que la probabilidad total de que la partícula esté en un determinado estado es 1, esto es, . El entrelazamiento es el resultado de la superposición, un principio en el que una partícula está en múltiples estados a la vez.[1] Debido a esta superposición, la medida en uno de los qubits hará que este colapse en uno de sus estados base con una probabilidad dada.[2] Y como existe dicho entrelazamiento, la medida de un qubit asignará solo uno de los dos posibles valores al otro qubit instantáneamente, donde el valor asignado depende de en qué estado de Bell estén los dos qubits.
Los estados de Bell se pueden generalizar para representar específicos estados cuánticos de sistemas multi-qubits, como el estado de Greenberger–Horne–Zeilinger (GHZ) para un sistema de tres qubits.
Entender los estados de Bell es esencial en el análisis de la comunicación cuántica (como la codificación superdensa) y la teleportación cuántica.[3]
Estados de Bell
Los estados de Bell son cuatro específicos estados cuánticos máximamente entrelazados de dos qubits. Están en una superposición de y , eso es, una combinación lineal de estos dos estados. Su entrelazamiento significa lo siguiente:
Supongamos dos observadores, Alice y Bob, separados espacialmente tal que no se produzca ninguna influencia entre ambos observadores. Cada uno tiene uno de los qubits, que anteriormente han sido entrelazados. El qubit que Alice tiene puede ser tanto como . Si Alice lo mide en la base estándar, el resultado será totalmente aleatorio, pero la probabilidad tanto de como de será de . Si entonces Bob mide su qubit, el resultado será el mismo que el de Alice (la probabilidad, no el estado resultante). Sin embargo, si Alice y Bob se comunicaran, se encontrarían con que, a pesar de que sus resultados parezcan aleatorios, están perfectamente correlacionados.
Esta perfecta correlación se puede interpretar como que los dos qubits "se pusieron de acuerdo" con anterioridad a que se separasen espacialmente sobre el resultado de la medida. Por lo tanto, siguiendo el famoso artículo de Einstein, Podolsky y Rosen en 1935, "EPR paper",[4] falta algo en la descripción del par de dos qubits, que se denominó variable oculta.
Base de Bell
En su famoso artículo de 1964,[5] John Bell demostró por simple teoría de probabilidades que esas correlaciones (las de la base y las de la base ) no pueden hacerse a la vez de manera exacta usando ningún tipo de pre-acuerdo almacenado en unas variables ocultas. Sin embargo, la mecánica cuántica predice que estas correlaciones son exactas.
En una formulación más formal y refinada denominada como la desigualdad de Bell-CHSH, se demuestra que la correlación de una medida no puede exceder el valor de si se asume que la física respeta las restricciones de la teoría local de variables ocultas, pero ciertos sistemas permiten que en la mecánica cuántica se puedan alcanzar valores de hasta . Así, la mecánica cuántica viola la desigualdad de Bell y la idea de variables ocultas locales.
Los estados de Bell son cuatro estados de dos qubits con valor maximal . Forman una base entrelazada, conocida como la base de Bell cuatridimensional del espacio de Hilbert para dos qubits. Estos estados son:
Por facilidad, la notación que se usa para denotar los estados es la siguiente:
Creación de estados de Bell
Hay varios posibles caminos para crear un estado entrelazado de Bell a través de circuitos cuánticos. Una de las formas más simples se consigue teniendo de entrada un estado de una de las bases computacionales de dos qubits () y pasar a dicho estado por un circuito cuántico compuesto por una puerta de Hadamard (u operador) y una puerta CNOT (u operador), representando en la imagen la puerta de Hadamard con la y la CNOT con .

El funcionamiento de las puertas es simple:
La puerta de Hadamard transforma el primer qubit de un estado de dos qubits. Si el primer qubit es el estado , lo transforma en el estado , y si es , lo transforma en el estado .
La puerta CNOT varía el segundo qubit (target) de un estado de dos qubits en función del valor del primer qubit (control). Así, si el primer qubit es el estado , el segundo qubit permanece inalterado. Si en cambio el primer qubit es el estado , el segundo qubit cambia a su opuesto (si es pasa a y viceversa).
Por ejemplo, si se tuviese un estado inicial , tras pasar por la puerta de Hadamard tendríamos , y tras actuar por la puerta CNOT obtendríamos el estado . Para cualquiera de los cuatro estados iniciales de la base de dos qubits, el estado de Bell que saldría del circuito cuántico sigue la siguiente fórmula:
donde es el opuesto de .[2]
Propiedades de los estados de Bell
Después de medir el primer qubit, se obtienen dos posibles resultados para el segundo qubit, con probabilidad y con probabilidad . Esto implica que los resultados de las medidas están correlacionados. John Bell fue el primero en probar que la correlación en las medidas de los estados de Bell son más fuertes de lo que podría existir en un sistema clásico. Esto da una pista de que la mecánica cuántica permite una capacidad en el procesamiento de la información más allá de lo que sería posible en sistemas clásicos.
Además, los estados de Bell forman una base ortonormal y pueden entonces ser definidos con una medida apropiada. Debido a que los estados de Bell son estados entrelazados, toda la información del sistema puede ser conocida mientras se retiene información individual de cada subsistema. Por ejemplo, el estado de Bell es un estado puro, pero el operador matriz densidad reducida del primer qubit es un estado mixto. Este estado mixto implica que no toda la información del primer qubit es conocida a pesar de que toda la información del estado de Bell sí es conocida.[2]
Por último, los estados de Bell pueden ser tanto simétricos como asimétricos dependiendo de la permutación de los subsistemas (todos los estados son simétricos con respecto a una permutación de los subsistemas menos el estado , que es antisimétrico).[1]
Medida del estado de Bell

La medida de Bell es un concepto importante en el campo de la información cuántica: es una medida mecánico-cuántica de dos qubits que determina en cuál de los cuatro estados de Bell están los dos qubits. La medida cuántica colapsa la superposición de estos estados. Puede ser interpretado como una interfase entre la información clásica y cuántica. En circuitos cuánticos, una medida proyectiva se suele notar con un símbolo de un medidor.[2]
Un ejemplo de medida cuántica en la base de Bell puede verse en la computación cuántica. Si una puerta CNOT se aplica a dos qubits y después una puerta de Hadamard aplicada al primer qubit, una medida se puede realizar en la base computacional. La puerta CNOT realiza un desentrelazamiento de los dos qubits que antes estaban entrelazados. Esto permite convertir la información de cuántica a clásica.
Las medidas cuánticas obedecen dos principios claves. El primero, el principio de la medida diferida, prueba que cualquier medida puede moverse y realizarse al final de un circuito cuántico. El segundo, el principio de la medida implícita, expresa que al final de un circuito cuántico, la medida se puede realizar por cualquier línea cuántica.[2]
Aplicaciones
Teleportación cuántica

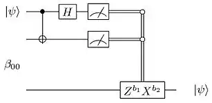
La teleportación cuántica es un proceso en el cual se transmite información cuántica de una posición a otra suficientemente alejada mediante un canal clásico. El objetivo de esta técnica es transmitir un qubit entre Alice (emisora) y Bob (receptor) mediante el envío de dos bits clásicos. Previamente, Alice y Bob deberán compartir un estado entrelazado. Para simplificar el proceso, el estado que comparten suele ser uno de los estados de la base de Bell.
Lo que se pretende ahora es transmitir un estado (o qubit) que alguien le da a Alice, llamando a ese estado , a Bob. De este estado ni Alice ni Bob conocen los valores de o menos que el estado debe estar normalizado. Como este estado lo tiene Alice, ella tendrá tanto el qubit que tenía entrelazado con Bob como este qubit. Así, se tendrán en total tres qubits,
Para enviar el qubit , primero se hará pasar a los dos qubits de Alice por una puerta CNOT, siendo el qubit el qubit de control y el qubit de Alice el target. Esto provocará que el qubit y el qubit de Alice se entrelacen, que a su vez se entrelazará con el qubit de Bob por estar el de Alice y Bob entrelazados.
Tras esto, Alice hace pasar su qubit por una puerta de Hadamard, que representa una rotación de ángulo sobre el eje . Finalmente, tendremos un estado de tres qubits en el que, dependiendo de que estado tenga Alice, Bob tendrá un estado u otro. Así, Alice medirá sus dos qubtis (puede salir o ), obteniendo los resultados . Estos dos bits clásicos son los que Alice enviará a Bob mediante un canal clásico. Dependiendo del resultado de Alice, Bob solo tendrá que aplicar el operador , obteniendo al final el estado , que es el qubit que inicialmente se quería enviar.[2] Para una explicación más detallada, mirar la página de teleportación cuántica.
Codificación superdensa

La codificación superdensa es un proceso en el cual se pueden transmitir dos bits clásicos almacenados en un qubit entre dos posiciones mediante un canal cuántico. Se denomina superdensa porque podemos enviar en un solo qubit dos bits. En cierto sentido, la codificación superdensa se puede considerar como la operación "inversa" a la teleportación cuántica. Previamente, Alice y Bob deberán compartir un estado entrelazado. Para simplificar el proceso, el estado que comparten suele ser uno de los estados de la base de Bell.
Para empezar, Alice aplicará el operador en función del par de bits que quiera enviar. El resultado de aplicar este operador será un estado que Alice enviará a Bob por un canal cuántico. Cuando Bob lo tenga, aplicará primero una puerta CNOT al qubit recibido de Alice y al suyo. Como es sabido, el operador CNOT aplicado a dos qubits hace que estos se entrelacen. Pero no solo eso, debido a que este operador es unitario, el operador inverso (el que desentrelaza) es el mismo operador CNOT. Por lo que aplicar este operador hará que los dos qubits se desentrelazen.
Luego, Bob aplicará una puerta de Hadamard a los dos qubits (el qubit de Alice será el de control, el de Bob el target), que no es más que una rotación de ángulo sobre el eje . Con esto, Bob obtendrá un estado de la forma , y solo tendrá que medir ambos qubits para obtener los dos bits clásicos .[2]
Criptografía cuántica
La criptografía cuántica es el uso de las propiedades de la mecánica cuántica para codificar y enviar información de forma segura. La teoría detrás de este proceso es el hecho de que es imposible medir un estado cuántico de un sistema sin perturbar al sistema. Esto se puede utilizar para detectar a un intruso que intente conseguir esta información.
El método más frecuente de criptografía cuántica es el intercambio de claves cuánticas, que no es más que un método de comunicación seguro que implementa un protocolo criptográfico utilizando propiedades de la mecánica cuántica. Permite que dos sistemas (u observadores) produzcan una clave secreta aleatoria compartida que solo ellos conocen, que luego puede usarse para cifrar y descifrar mensajes.
Referencias
- Sych, Denis (7 de enero de 2009). «A complete basis of generalized Bell states». New Journal of Physics 11 (2009) 013006 (9pp).
- Nielsen, Michael (2010). Quantum Computation and Quantum Information. Cambridge University Press. ISBN 9781139495486.
- Zaman, Fakhar; Jeong, Youngmin (2 October 2018). "Counterfactual Bell-State Analysis". Scientific Reports
- Einstein, A.; Podolsky, B.; Rosen, N. (1935). «Can Quantum-Mechanical Description of Physical Reality Be Considered Complete?». Physical Review 47: 777-780.
- Bell, John (1964). «On the Einstein Podolsky Rosen Paradox». Physics. 1 (3): 195–200.