2-Metiltetrahidrofurano
El 2-metiltetrahidrofurano o 2-metiloxolano es un compuesto orgánico heterocíclico, formado por un anillo de 5 miembros en el que un átomo de carbono ha sido sustituido por un átomo de oxígeno, y un grupo metilo en posición alfa. Es un éter aprótico, de baja viscosidad, líquido a temperatura ambiente, que puede ser obtenido a partir de fuentes naturales renovables. La principal aplicación del MeTHF es actuar como solvente polar en reacciones organometálicas o bifásicas, siendo una alternativa sostenible a otros disolventes convencionales como tetrahidrofurano, dietiléter o diclorometano.
|
2-metiltetrahidrofurano | |
|---|---|
![]() Estructura del MeTHF | |
| Fórmula molecular | C5H10O |
| Masa molecular | 86.1 g/mol |
| Viscosidad | 0.46 cP (a 25 °C) |
| Densidad | 0.85 g/ml (a 20 °C) |
| Punto de ebullición | 80 °C |
| Punto de fusión | -136 °C |
| Solubilidad en agua | 14g /100g agua (a 20 °C) |
| Solubilidad del agua en MeTHF | 4.4g Agua /100g MeTHF |
| Parámetro de Hildebrand | 16.9 MPa1/2 |
| Presión de vapor | 102 mmHg (a 20 °C) |
| Constante dieléctrica | 6.97 |
| Calor de vaporización(en Teb) | 87.1 cal/g |
| Momento dipolar | 1.38 D |
| Flash point | -11.1 °C |
| Rango de explosión (% vol.) | 1.5-8.9 |
| Índice de refracción | 1.408 (a 20 °C) |
| Punto de ebullición del azeótropo | 71 °C |
| % agua en el azeótropo | 10.6 |
Obtención
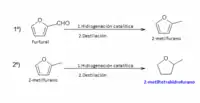
El 2- metiltetrahidrofurano (MeTHF) se obtiene principalmente a partir de furfural o 2-furaldehído mediante una reacción de hidrogenación catalítica en dos pasos. En el primero de ellos se hidrogena el furfural para obtener 2-metilfurano (intermedio de reacción) que una vez purificado por destilación, se hidrogena para dar lugar a MeTHF, que finalmente se destila, obteniéndose el producto puro. El reactivo furfural, se obtiene a partir de pentosas presentes de manera natural, en residuos agrícolas como el bagazo del azúcar de caña, o las mazorcas de maíz.

El 2-metiltetrahidrofurano, puede ser producido además usando como reactivo de partida el ácido levulínico, también de origen natural, obteniéndose éste a partir de hexosas derivadas de azúcares presentes en el almidón o en el material lignocelulósico, mediante tratamiento ácido;o bien, partiendo de pentosas, añadiendo una etapa reducción posterior al tratamiento ácido.El ácido levulínico es obtenido también, mediante hidrólisis ácida y posterior deshidratación (ambas etapas a alta temperatura) de residuos provenientes de la industria papelera (celulosa).
Propiedades
El MeTHF es un líquido incoloro con un olor dulce o a éter. Presenta una densidad a 20 °C de 0.854 g/mL, y un peso molecular de 86.1g/mol. Al tratarse de una molécula monosustituida de tetrahidrofurano (THF) posee propiedades físicas y químicas relativamente similares, ambas sustancias son bases fuerte de Lewis y presentan una polaridad parecida, siendo la constante dieléctrica del 2-metiltetrahidrofurano de 6.97 y la del THF de 7,58. Mientras el THF es miscible en agua, el 2-metiltetrahidrofurano solo lo es parcialmente (14 g/100g de agua), siendo la solubilidad del agua en el mismo de 4.4 g/100g de 2-metiltetrahidrofurano.Por otro lado, el valor del parámetro de solubilidad de Hildebrand para el tetrahidrofurano es de 18.7 MPa1/2, mientras que el 2-MeTHF presenta un valor ligeramente inferior, de 16.9 MPa1/2. Estos valores de solubilidad le confieren una ventaja respecto al THF en reacciones organometálicas, permitiendo aislar el producto sin necesidad de usar solventes adicionales. Presenta un punto de ebullición moderado de 80,2 °C, pero superior al del THF (64 °C), lo que se traduce en una menor pérdida de disolvente en las reacciones a reflujo así como una disminución de los compuestos orgánicos volátiles emitidos. Por otra parte su temperatura de fusión es de -136 °C; un valor bajo, que sumado a sus también bajos valores de viscosidad (1.85 cP a -70 °C y 0.46 cP a 20 °C) hacen de este compuesto, un excelente disolvente para reacciones que transcurran con temperaturas de reacción bajas. Presenta un "Flash Point"(Flash point) de -11,1 °C y un rango de explosión de 1,5 -8.9% vol. Finalmente, el 2-MeTHF presenta un azeótropo con un 10.6% de agua, que permite recuperar el disolvente, relativamente puro, del medio de reacción mediante una simple destilación que no requiere altas temperaturas (60 °C).
Estabilidad y toxicidad
Es un compuesto fácilmente inflamable e irritante (ojos y vías respiratorias) Como la mayoría de los éteres que actúan como disolventes, MeTHF tiende a formar peróxidos explosivos en presencia de oxígeno, si no se le ha proporcionado ningún agente estabilizante.
Se han descrito los siguientes datos toxicológicos de dosis letal:
Aplicaciones
Reacciones de Grignard
Presenta una actividad similar al THF a la hora de formar compuestos de Grignard alquílicos o arílicos, dando mejores resultados en el caso de reactivos bencílicos o arílicos. En cuanto a los reactivos de Grignard halogenados, se ha descrito como los bromados tienden a ser más solubles en MeTHF y los clorados en THF.
Reacciones de Reformatsky
MeTHF es un buen disolvente para este tipo de reacciones ya que la alta solubilidad del bromuro de zinc en el mismo, permite la formación de compuestos de zinc a partir de reactivos litiados o de Grignard.
Reacciones de Litiación
Su bajo punto de fusión, su baja viscosidad y su carácter como base de Lewis, convierten al 2-metiltetrahidrofurano en un disolvente adecuado para reacciones de litiación a baja temperatura. LLegando a ser algunos reactivos litiados más estables en este disolvente que en THF.
Reducciones con Hidruros
Debido a la alta solubilidad de LiAlH4 en el 2- metiltetrahidrofurano; se pueden obtener los mismos porcentajes de producto final, que en las reducciones en las que se emplea tetrahidrofurano como disolvente
Reacciones Acopladas
Se ha descrito como el MeTHF de mejores resultados en cuanto a la diastereoselectividad que el THF en las reacciones acopladas con cobre.
Reacciones bifásicas
El MeTHF actúa, en ocasiones, como sustituto del diclorometano en reacciones bifásicas tales como alquilaciones, amidaciones y sustituciones nucleófilas, mostrando una alta reactividad. Como ventajas frente al uso de diclorometano, destacar que su moderado punto de ebullición le confiere mayor resistencia en reacciones con aminas actuando de nucleofilo, y permite mejores separaciones de fases.
Referencias
- Aycock, David F. (2007). «Solvent Applications of 2-Methyltetrahydrofuran in Organometallic and Biphasic Reactions». Organic Process Research & Development 11. p. 156.
- Kerton, Francesca M. (2009). «5». Alternative Solvents for Green Chemistry (en inglés). RSC Green Chemistry Series. pp. 108-109. ISBN 978-1-84973-595-7.
- Comanita, Bogdan (2006). «2-MeTHF for greener processes». Speciality Chemicals Magazine. Archivado desde el original el 9 de noviembre de 2007. Consultado el 27 de diciembre de 2018.
- Ficha de seguridad del MeTHF (enlace roto disponible en Internet Archive; véase el historial, la primera versión y la última).
