1,2-dioxetano
El 1,2-dioxetano (1,2-dioxaciclobutano) es un compuesto heterocíclico orgánico con fórmula molecular C2H4O2. Debido a que ambos átomos de oxígeno ocupan posiciones adyacentes dentro del anillo, este compuesto orgánico entraría dentro de la categoría de los peróxidos orgánicos, incluso puede considerarse como un dímero del formáldehido (CH2O)2. Gracias a una baja energía de enlace del grupo peróxido y la tensión anular del ciclobutano, estos compuestos son altamente endotérmicos. Estos aspectos marcarán la reactividad química del anillo.
| 1,2-dioxetano | ||
|---|---|---|
![]() Fórmula estructural | ||
![]() Estructura tridimensional | ||
| General | ||
| Fórmula molecular | C2H4O2 | |
| Identificadores | ||
| Número CAS | 6788-84-7[1] | |
| ChemSpider | 108850 | |
| PubChem | 122029 | |
| UNII | 142GQA523X | |
| Propiedades físicas | ||
| Masa molar | 60,021 g/mol | |
Reactividad
Los derivados 1,2-dioxetanos experimentan una descomposición térmica. El compuesto permetilado de este compuesto orgánico (tetrametil-1,2-dioxetano) ha mostrado la emisión de luz azul cuando se le calienta ligeramente en benceno u otros disolventes. Esta emisión de luz está basada en el proceso de quimio-luminiscencia.[2] [3] Se ha demostrado que durante la descomposición, el heterociclo se escinde en dos moléculas de acetona; donde de acuerdo al principio de conservación de la simetría del orbital, una de estas moléculas de acetona se encuentra en un estado excitado y cuando recupera el estado basal emite luz.
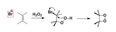
Sintésis
Básicamente los derivados 1,2-dioxetanos se pueden preparar por dos vías.
- a) Deshidrohalogenación de β-halo-hydroperóxidos
La deshidrohalogenación de estos productos puede activarse con bases orgánicas e inorgánicas o emplear sales de plata, debido a que precipitaría la sal de plata (AgX).

- b) Foto-oxigenación de alquenos
El oxígeno molecular es capaz de reaccionar con alquenos a través de un proceso de ciclación 2+2. Para ello, es necesario que el oxígeno se encuentre en un estado excitado (estado singlete) con la ayuda de una radiación y colorante.

Referencias
- Número CAS
- W. Adam, G. Cilento. «Four-Membered Ring Peroxides as Excited State Equivalents: A New Dimension in Bioorganic Chemistry».
- W. Adam, W. J. Baader. «1,2-Dioxetane: Synthesis, Characterization, Stability, and Chemiluminescence».

