Alfa-pineno

El α-Pineno es un compuesto orgánico de la clase terpeno, uno de los dos isómeros del pineno.[2] Se trata de un alqueno y contiene un anillo reactivo de cuatro miembros. Se encuentra en los aceites de muchas especies de coníferas, en particular el pino. También se encuentra en el aceite esencial de romero (Salvia rosmarinus)[3] o de Cannabis.[4] Ambos enantiómeros se conocen en la naturaleza; el (1 S , 5 S ) - o (-)-α-pineno es más común en los pinos europeos, mientras que el (1 R , 5 R ) - o (+)-α-isómero es más común en América del Norte. La mezcla racémica está presente en algunos aceites, tales como el aceite de eucalipto y aceite de cáscara de naranja.

α-Pinene
Nombre IUPAC
(1S,5S)-2,6,6-Trimethyl
bicyclo[3.1.1]hept-2-ene
((-)-α-Pinene)
General
Fórmula molecular C10H16 
Identificadores
Número CAS 80-56-8[1]
Número RTECS DT7000000 (unspec. isomer)
ChEBI 28660
ChEMBL CHEMBL3109297
ChemSpider 389795
PubChem 440968
UNII JPF3YI7O34
KEGG C06308
C\1=C(\[C@@H]2C[C@H](C/1)C2(C)C)C
Propiedades físicas
Masa molar 136,23 g/mol
Punto de fusión −64 °C (209 K)
Punto de ebullición 155 °C (428 K)
Valores en el SI y en condiciones estándar
(25 y 1 atm), salvo que se indique lo contrario.

En condiciones de oxidación aeróbica, los principales productos de oxidación son óxido de pineno, hidroperóxido verbenyl, verbenol y verbenona.[5]

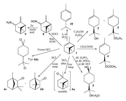
Algunas reacciones generales del alfa-pineno.


Papel atmosférico

En la atmósfera el α-pineno sufre reacciones con el ozono, el radical hidroxilo o el radical NO3,[6] lo que da lugar a especies de baja volatilidad que se condensan parcialmente en los aerosoles existentes, generando así aerosoles orgánicos secundarios. Esto se ha demostrado en numerosos experimentos de laboratorio para los mono- y sesquiterpenos.[7][8] Los productos del α-pineno que se han identificado explícitamente son el pinonaldehído, el norpinonaldehído, el ácido pínico, el ácido pinónico y el ácido pinálico.

Usos

En niveles bajos de exposición, α-pineno es un broncodilatador en los seres humanos, y es altamente biodisponible con un 60% de absorción pulmonar humana con un rápido metabolismo o redistribución.[9] El alfa-pineno es un antiinflamatorio vía PGE1,[9] y parece ser un antibiótico de amplio espectro.[10] Muestra actividad como un inhibidor de la colinesterasa.[9] Como el borneol, el verbenol y el pinocarveol el α-pinenoves un modulador positivo de los receptores GABAA. Actúa en el sitio de unión de la benzodiacepina.[9]

Referencias

  1. Número CAS
  2. Simonsen, J. L. (1957) The Terpenes (2nd edition) Vol. 2 Cambridge:Cambridge University Press, pp 105-191.
  3. PDR for Herbal Medicine. Montvale, NJ: Medical Economics Company. p. 1100
  4. Aizpurua-Olaizola, Oier; Soydaner, Umut; Öztürk, Ekin; Schibano, Daniele; Simsir, Yilmaz; Navarro, Patricia; Etxebarria, Nestor; Usobiaga, Aresatz (2 de febrero de 2016). «Evolution of the Cannabinoid and Terpene Content during the Growth of Cannabis sativa Plants from Different Chemotypes». Journal of Natural Products (en inglés). doi:10.1021/acs.jnatprod.5b00949. Consultado el 18 de febrero de 2016.
  5. U. Neuenschwander (2010), "Mechanism of the Aerobic Oxidation of α-Pinene" (in German), ChemSusChem 3 (1): pp. 75–84, doi:10.1002/cssc.200900228
  6. IUPAC Subcommittee on Gas Kinetic Data Evaluation
  7. Odum, J. R.; Hoffmann, T.; Bowman, F.; Collins, D.; Flagan, R. C.; Seinfeld, J. H. (1996). «Gas/particle partitioning and secondary organic aerosol yields». Environmental Science and Technology 30 (8): 2580-2585. doi:10.1021/es950943+.
  8. Donahue, N. M.; Henry, K. M.; Mentel, T. F.; Kiendler-Scharr, A.; Spindler, C.; Bohn, B.; Brauers, T.; Dorn, H. P.; Fuchs, H.; Tillmann, R.; Wahner, A.; Saathoff, H.; Naumann, K.-H.; Mohler, O.; Leisner, T.; Muller, L.; Reinnig, M.-C.; Hoffmann, T.; Salo, K.; Hallquist, M.; Frosch, M.; Bilde, M.; Tritscher, T.; Barmet, P.; Praplan, A. P.; DeCarlo, P. F.; Dommen, J.; Prevot, A. S. H.; Baltensperger, U. (2012). «Aging of biogenic secondary organic aerosol via gas-phase OH radical reactions». Proceedings of the National Academy of Sciences 109 (34): 13503-13508. PMC 3427056. PMID 22869714. doi:10.1073/pnas.1115186109.
  9. Russo, E. B (2011). «Taming THC: potential cannabis synergy and phytocannabinoid-terpenoid entourage effects». British Journal of Pharmacology 163 (7): 1344-1364. doi:10.1111/j.1476-5381.2011.01238.x.
  10. Nissen L, Zatta A, Stefanini I, Grandi S, Sgorbati B, Biavati B et al. (2010). Characterization and antimicrobial activity of essential oils of industrial hemp varieties (Cannabis sativa L.). Fitoterapia 81: 413–419.

Enlaces externos

Este artículo ha sido escrito por Wikipedia. El texto está disponible bajo la licencia Creative Commons - Atribución - CompartirIgual. Pueden aplicarse cláusulas adicionales a los archivos multimedia.