Ácido múcico
El ácido múcico, C6H10O8 o HOOC-(CHOH)4-COOH, se obtiene por la oxidación del azúcar de la leche (lactosa), la dulcita, la galactosa, la quercita y la mayoría de las variedades de goma natural que incorporan ácido nítrico.
| Ácido múcico | ||
|---|---|---|
![]() | ||
| Nombre IUPAC | ||
| Ácido (2S,3R,4S,5R)-2,3,4,5-tetrahidroxihexanodioico | ||
| General | ||
| Fórmula semidesarrollada | HOOC-(CHOH)4-COOH | |
| Fórmula molecular | C6H10O8 | |
| Identificadores | ||
| Número CAS | 526-99-8[1] | |
| ChEMBL | CHEMBL1232958 | |
| Propiedades físicas | ||
| Apariencia | Polvo cristalino | |
| Masa molar | 210,1388 g/mol | |
| Punto de fusión | 213 °C (486 K) | |
| Propiedades químicas | ||
| Solubilidad en agua | Insoluble en agua fría | |
| Solubilidad | Insoluble en alcohol | |
| Valores en el SI y en condiciones estándar (25 ℃ y 1 atm), salvo que se indique lo contrario. | ||
Características
Forma un polvo cristalino que se funde a los 213 °C. Es insoluble en alcohol, y prácticamente insoluble en agua fría. Cuando se calienta con piridina hasta los 140° se convierte en ácido alómico. Cuando se digiere con ácido clorhídrico fumante durante algún tiempo se convierte en furfural, mientras que si es calentado con sulfuro de bario se transforma en el ácido carboxílico tiofeno. La destilación seca de su sal de amonio da lugar a dióxido de carbono, amoníaco, pirrol y otras sustancias. El ácido cuando de mezcla con bases cáusticas da lugar al ácido oxálico.
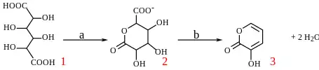
Con bisulfato potásico el ácido múcico forma 3-hidroxi-2-pirona por deshidratación y descarboxilación.

Referencias
Este artículo incorpora texto de una publicación sin restricciones conocidas de derecho de autor:
Varios autores (1910-1911). «Encyclopædia Britannica». En Chisholm, Hugh, ed. Encyclopædia Britannica. A Dictionary of Arts, Sciences, Literature, and General information (en inglés) (11.ª edición). Encyclopædia Britannica, Inc.; actualmente en dominio público.
