< General Engineering Introduction

Engineering calculations use science to predict what is going to happen. This is the first step of design. Computer algebra programs (matlab, wolfram alpha, etc.) help speed up pencil calculations like a calculator.

The next step is simulation. The goal is to create the same numbers through simulation as were calculated. Most engineers are stressing the limits of simulation software and are aware that simulations have hidden limitations and possible hidden faults.

After the computation matches simulation, then some builds are done. Tests are compared to the simulation and computations. Any differences are explored in depth.

In general there are four steps in a calculation:

Goal

During the GOAL phase of doing a problem, read the problem. Assign symbols to all the numbers and unknowns. This is a problem from the Dynamics class found in Mechanical Engineering, Civil Engineering, Aerospace Engineering typically taken first semester of sophomore year:

The 20 lb box slides on the surface for which the kinetic friction μk is 0.3 (no units). The box has a velocity of 15 ft/sec when it is 2 ft from the plate. If it strikes the plate weighing 10 lb and is held in position by an unstretched spring of stiffness k = 400 ft/lb, determine the maximum compression of the spring. Take the co-efficient of elasticity between the box and plate e to be 0.8. Assume the plate slides smoothly.

Linkage

During the LINKAGE phase of doing a problem, work with symbols. This is where concepts learned are applied to the problem to create formulas. The concepts used to do this problem were:

  • work done by friction slowing block down before hitting the plate
  • elasticity during collision
  • conservation of momentum before and after collision
  • conservation of energy during spring compression

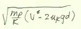
These concepts each created a formula. The above four concepts were worked into one formula describing the unknown s (distance spring was compressed) in terms of the known data:

Before doing this, dimensional analysis can be used to check the above formula. If one practices checking formulas using dimensional analysis at every step during linkage, this can be come a habit like checking for one's wallet. The first step is to look at the base unit column at NIST.

Here is an example. Look at the term:

Can see that e is unitless, wp and wb are the same units, and divide to become unitless. Thus the whole term is unitless.

All units have to emerge from under the radical whole:

Here is the check:

Values

The values section substitutes numbers for the unknowns to compute the distance s. Most engineering problems are either in SI units or English units. Both have a rhythm or pattern to them in Engineering classes, but at the beginning of the course it best to do the unit and dimensional analysis. Here is substituting values for the symbols and computing the unknown:

Harmonization

Engineers check each other's work. Explaining what was done to another person often exposes problems that can never be seen just sitting by oneself and staring at paper. This process is called harmonization. Harmonization is also a step in the process of managing standards.

This article is issued from Wikibooks. The text is licensed under Creative Commons - Attribution - Sharealike. Additional terms may apply for the media files.