Khan Academy (English - US curriculum)
Math
Get ready for Algebra 2
Get ready for equations
The quadratic formula
The quadratic formula
The quadratic formula
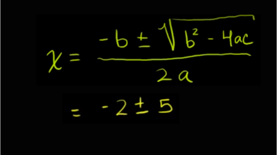
Worked example: quadratic formula (example 2)
Worked example: quadratic formula (negative coefficients)
Quadratic formula
Using the quadratic formula: number of solutions
Number of solutions of quadratic equations
Proof of the quadratic formula