Khan Academy (English - US curriculum)
Math
Pre-algebra
Functions and linear models
Functions
Functions
What is a function?
Worked example: Evaluating functions from equation
Function notation example
Evaluate functions
Worked example: Evaluating functions from graph
Evaluate functions from their graph
Equations vs. functions
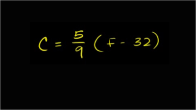
Manipulating formulas: temperature
Obtaining a function from an equation
Function rules from equations