Khan Academy (English - US curriculum)
Math by grade
High school
Precalculus
Rational functions
Multiplying and dividing rational expressions
Multiplying and dividing rational expressions
Multiplying & dividing rational expressions: monomials
Multiplying rational expressions
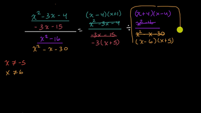
Dividing rational expressions
Multiply & divide rational expressions: Error analysis
Multiply & divide rational expressions