Khan Academy (English - US curriculum)
Math by grade
Illustrative Mathematics
7th grade (Illustrative Mathematics)
Unit 5: Rational number arithmetic
Lesson 13: Expressions with rational numbers
Lesson 13: Expressions with rational numbers
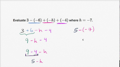
Substitution with negative numbers
Substitution with negative numbers
Ordering expressions
Ordering negative number expressions
Negative signs in fractions
Negative signs in fractions
Expressions with rational numbers
Signs of expressions