Khan Academy (English - US curriculum)
Math
AP®︎ Calculus AB
Integration and accumulation of change
Finding antiderivatives and indefinite integrals: basic rules and notation: reverse power rule
Finding antiderivatives and indefinite integrals: basic rules and notation: reverse power rule
Reverse power rule
Reverse power rule
Reverse power rule: negative and fractional powers
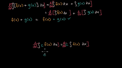
Indefinite integrals: sums & multiples
Reverse power rule: sums & multiples
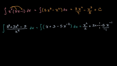
Rewriting before integrating
Reverse power rule: rewriting before integrating