Khan Academy (English - US curriculum)
Science & Engineering
Chemistry
Kinetics
Relationship between reaction concentrations and time
Relationship between reaction concentrations and time
First-order reactions
First-order reaction (with calculus)
Plotting data for a first-order reaction
Half-life of a first-order reaction
Half-life and carbon dating
Worked example: Using the first-order integrated rate law and half-life equations
Second-order reactions
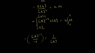
Second-order reaction (with calculus)
Half-life of a second-order reaction
Zero-order reactions
Zero-order reaction (with calculus)
Kinetics of radioactive decay
2015 AP Chemistry free response 5