Khan Academy (English - US curriculum)
Math
AP®︎ Calculus AB
AP Calculus AB solved free response questions from past exams
AP Calculus AB 2011 free response
AP Calculus AB 2011 free response
Solved examples from AP Calculus AB 2011.
2011 Calculus AB free response #1a
2011 Calculus AB Free Response #1 (b, c, & d)
2011 Calculus AB free response #2 (a & b)
2011 Calculus AB free response #2 (c & d)
2011 Calculus AB free response #3 (a & b)
2011 Calculus AB free response #3 (c)
2011 Calculus AB free response #4a
2011 Calculus AB free response #4b
2011 Calculus AB free response #4c
2011 Calculus AB free response #4d
2011 Calculus AB free response #5a
2011 Calculus AB free response #5b
2011 Calculus AB free response #5c
2011 Calculus AB free response #6a
2011 Calculus AB free response #6b
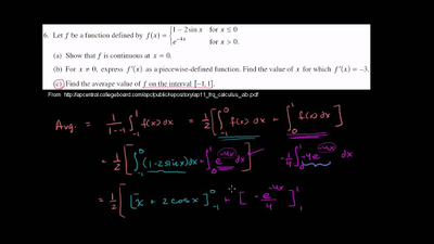
2011 Calculus AB free response #6c