Khan Academy (English - US curriculum)
Math
AP®︎ Calculus BC
AP Calculus BC solved exams
AP Calculus BC 2015
AP Calculus BC 2015
Solved examples from AP Calculus BC 2015.
2015 AP Calculus BC 2a
2015 AP Calculus BC 2b
2015 AP Calculus BC 2c
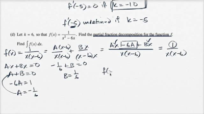
2015 AP Calculus BC 2d
2015 AP Calculus BC 5a
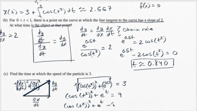
2015 AP Calculus BC 5b
2015 AP Calculus BC 5c
2015 AP Calculus BC 5d
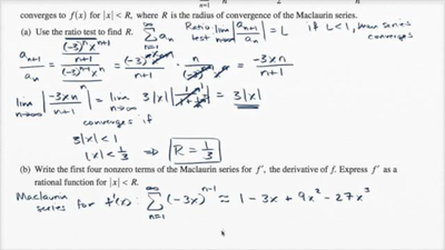
2015 AP Calculus BC 6a
2015 AP Calculus BC 6b
2015 AP Calculus BC 6c