Khan Academy (English - US curriculum)
Math
Get ready for AP® Calculus
Get ready for limits and continuity
Factoring quadratics with difference of squares
Factoring quadratics with difference of squares
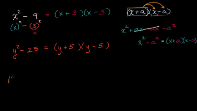
Difference of squares intro
Difference of squares intro
Factoring difference of squares: leading coefficient ≠ 1
Factoring difference of squares: analyzing factorization
Factoring difference of squares: shared factors
Difference of squares