Khan Academy (English - US curriculum)
Math
Multivariable calculus
Integrating multivariable functions
Surface integral preliminaries
Surface integral preliminaries
Here, Sal covers some of the skills you need to be able to understand surface integrals.
Parametrizing a surface, part 1
Determining a position vector-valued function for a parametrization of two parameters
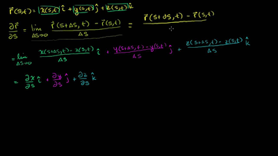
Partial derivatives of vector-valued functions