Khan Academy (English - US curriculum)
Math
AP®︎ Calculus AB
Applications of integration
Volume with disc method: revolving around other axes
Volume with disc method: revolving around other axes
Disc method rotation around horizontal line
Disc method rotating around vertical line
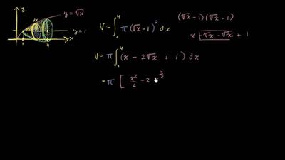
Calculating integral disc around vertical line
Disc method: revolving around other axes