Khan Academy (English - US curriculum)
Math
AP®︎ Calculus BC
Applications of integration
The arc length of a smooth, planar curve and distance traveled
The arc length of a smooth, planar curve and distance traveled
Arc length intro
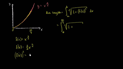
Worked example: arc length
Arc length